Динамика ВВП РФ, статистический анализРефераты >> Статистика >> Динамика ВВП РФ, статистический анализ
Рисунок 2. График остатков
Среднее линейное отклонение уровней ряда от тренда описывается показателем
т.е. среднее абсолютное отклонение от тренда равно
. Амплитуда колебаний есть разность максимального и минимального отклонения и показывает максимальный разброс отклонений.
![]()
Индексы сезонности находятся по формулам ![]()
![]()
![]()
![]()
![]()
![]()
![]()
![]()
![]()
![]()
![]()
![]()
![]()
![]()
![]()
![]()
![]()
![]()
Средние индексов сезонности
![]()
![]()
![]()
Статистика Дарбина-Уотсона [12]

Попали в зону отсутствия автокорреляции первого порядка [3].
1.6. Прогноз
Точечный прогноз для
![]()
![]()
![]()
![]()
Можно видеть циклическое отклонение от тренда. Четко прослеживается сезонность ВВП. В первом квартале признак имеет наименьшее значение, а потом возрастает к третьему, а в четвертом квартале опять сокращается. Таким образом, колеблемость ВВП не является хаотической.
Индексы сезонности показывают, что в первом и втором квартале ВВП ниже трендового, а в третьем и четвертом – выше.
Рассмотрим вопрос, насколько сильно в среднем ВВП отклоняется от тренда. Для этого служит показатель среднего линейного отклонение уровней ряда от тренда [11]
Значит в среднем, ряды уровней отклоняются от тренда на 280,28 млрд.рб. Учтем теперь направление отклонения. Для этого будем учитывать направление отклонения, т.е. уберем модуль в предыдущей формуле: получим, что среднее отклонения равно 8.5 млрд.руб.
Амплитуда колебаний есть разность максимального и минимального отклонения и показывает максимальный разброс отклонений [9].
Максимальная разность ВВП равна 1464,536 и достигается она в первом и третьем квартале, когда ВВП минимален (в первом) и максимален (во втором).
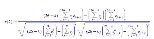
Степень тесноты связи между последовательностями наблюдаемого временного ряда, сдвинутого относительно друг друга на tединиц может быть определена с помощью коэффициента автокорреляции
Показатель t служит порядком коэффициента автокорреляции. Для разных t получаем r(t) – автокорреляционную функцию,
Показатель t служит порядком коэффициента автокорреляции. Для разных t получаем r(t) - автокорреляционную функцию [5]
![]()
![]()
![]()
![]()
![]()
![]()
![]()
![]()
![]()
Мы видим, что высока автокорреляция 4-го порядка, что еще раз показывает наличие сезонности в уровнях ВВП.
Глава 2. Моделирование сезонности ВВП
После того, как мы установили наличие сезонности, надо пытаться ее моделировать. Приведем расчет модели с использованием фиктивных переменных. Введем 3 фиктивных переменных, указывающих на 1-й, 2-й, 3-й квартал [1]
Таблица 2. структура данных + dummy
| ln (ВВП) | Dummy 1 | Dummy 2 | Dummy 3 | номер квартала |
| 7,6 | 1 | 0 | 0 | 1 |
| 7,7 | 0 | 1 | 0 | 2 |
| 7,8 | 0 | 0 | 1 | 3 |
| 7,8 | 0 | 0 | 0 | 4 |
| 7,7 | 1 | 0 | 0 | 5 |
| 7,8 | 0 | 1 | 0 | 6 |
| 8,0 | 0 | 0 | 1 | 7 |
| 8,0 | 0 | 0 | 0 | 8 |
| 8,0 | 1 | 0 | 0 | 9 |
| 8,0 | 0 | 1 | 0 | 10 |
| 8,2 | 0 | 0 | 1 | 11 |
| 8,2 | 0 | 0 | 0 | 12 |
| 8,2 | 1 | 0 | 0 | 13 |
| 8,3 | 0 | 1 | 0 | 14 |
| 8,4 | 0 | 0 | 1 | 15 |
| 8,5 | 0 | 0 | 0 | 16 |
| 8,4 | 1 | 0 | 0 | 17 |
| 8,6 | 0 | 1 | 0 | 18 |
| 8,7 | 0 | 0 | 1 | 19 |
| 8,7 | 0 | 0 | 0 | 20 |
| 8,6 | 1 | 0 | 0 | 21 |
| 8,8 | 0 | 1 | 0 | 22 |
| 8,9 | 0 | 0 | 1 | 23 |
| 8,9 | 0 | 0 | 0 | 24 |
| 8,8 | 1 | 0 | 0 | 25 |
| 8,9 | 0 | 1 | 0 | 26 |
