Динамика ВВП РФ, статистический анализРефераты >> Статистика >> Динамика ВВП РФ, статистический анализ
4.6. Множественный коэффициент корреляции
или
Ошибка множественного коэффициента корреляции
![]()
4.7. Коэффициент детерминации
![]()
Скорректированный

Проведем F-тест Фишера на значимость регрессии.

![]()
![]()
Регрессия значима.
4.8. Колеблемость признака
Колеблемость - это отклонения уровней динамического ряда от тренда, т.е. остатки регрессии. Найдем остатки регрессии (т.е. очищаем признак от тренда)
![]()
![]()
![]()
![]()
![]()
![]()
![]()
![]()
![]()
![]()
![]()
![]()
![]()
![]()
![]()
![]()
![]()
![]()
![]()
![]()
![]()
Нарисуем график остатков
Рисунок 6. График остатков
Среднее линейное отклонение уровней ряда от тренда описывается показателем
т.е. среднее абсолютное отклонение от тренда равно
Амплитуда колебаний есть разность максимального и минимального отклонения и показывает максимальный разброс отклонений.
![]()
4.9. Сезонность
Индексы сезонности находятся по формулам
![]()
![]()
![]()
![]()
![]()
![]()
![]()
![]()
![]()
![]()
![]()
![]()
![]()
![]()
![]()
![]()
![]()
![]()
![]()
![]()
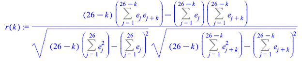
Степень тесноты связи между последовательностями наблюдаемого временного ряда, сдвинутого относительно друг друга на t единиц может быть определена с помощью коэффициента автокорреляции
Показатель t служит порядком коэффициента автокорреляции. Для разных t получаем r(t) - автокорреляционную функцию
![]()
![]()
![]()
а ее график называется коррелограмма. Статистика Дарбина-Уотсона

Попали в зону отсутствия автокорреляции
4.10. Доверительные интервалы для параметров регрессии
Дисперсия ошибок определяется по формуле [8]
