Организация досугаРефераты >> Социология >> Организация досуга
Современные исследования в области отдыха и развлечений вне дома ведутся по следующим направлениям:
a) Географические исследования на региональном (национальном) уровне
Сбор данных на местах:
– эстетическая оценка ландшафта, выраженная через показатель физической среды;
– привлекательность места — естественная (природная) и искусственная (созданная человеком);
– степень изменения человеком естественного ландшафта с целью придания ему привлекательности.
Сбор и анализ статистических данных:
– путешествия с целью развлечения;
– организация туризма;
– перспективная оценка потребностей в местах отдыха и развлечений для конкретного района;
–
| |
b) Экономические, политические и социологические исследования
Изучение предложения и спроса в сфере отдыха и развлечений.
Анализ распределения ресурсов, анализ типа затраты — выгоды и соответствующих стратегий в области экономики.
Экономические аспекты проблемы отдыха и развлечений.
Социологическое и психологическое воздействие путешествий.
c) Другие возможные направления исследований
Биологические исследования (экология).
Анализ технической осуществимости различных проектов, изучение особенностей местности с целью оптимального их использования при реализации проекта.
Пропускная способность мест отдыха.
Природа эстетической оценки данного места.
2 Применение методов исследования операций в области спорта
Первая работа, посвященная использованию методов исследования операций в области спорта, была опубликована в 1942 г. Автор этой работы писал: «Возможность применения научных методов при изучении спортивных игр до сих пор не изучена должным образом. Между тем предварительные данные по использованию методов исследования операций при изучении футбола и баскетбола показывают, что основные показатели подобных видов спорта могут быть описаны в терминах исследования операций. Вполне возможно, что использование научных методов в тренерской работе позволило бы существенно улучшить спортивные показатели и в частности игру команд». Аналогичная мысль была высказана в 1974 г. в работе Ладани [13]: «Спортивные состязания могут оказаться плодотворной сферой применения методов теории управления».
Анализ видов спорта, по которым проводятся соревнования,. с точки зрения исследования операций позволяет сделать следующие выводы: банки данных находятся в сравнительно хорошем состоянии и содержат новейшие сведения (люди проявляют громадный интерес к этим данным); действия повторяются, поэтому можно проводить неоднократные наблюдения процесса приблизительна в одних и тех же условиях; правила игр «точно определены», что исключает возможность «изменить игру» в самом ее разгаре; руководство в этой сфере, очевидно, достаточно восприимчиво к техническим нововведениям, поскольку тренеры активно ищут способы обеспечить так называемый «конкурентный перевес».
Можно предположить, что именно поиск конкурентного перевеса, который ведут тренеры, является причиной того, что многие особенно успешные случаи применения методов исследования операций в области спорта до сих пор остаются секретами, которые ревностно охраняются.
Тем не менее, мы рассмотрим различные примеры применения методов исследования операций в области спорта, о которых сообщалось в печати.
| |
Роберт Макол [14] одним из первых предложил использовать алгоритм решения задачи назначения для формирования команды. В частности, тренеру по плаванию при формировании команды для смешанной эстафеты следует отобрать пловцов, среди которых было бы несколько спортсменов, хорошо владеющих более чем одним стилем плавания. Усложненный вариант этой же идеи был использован при формировании основного состава команды из 38 кандидатов. В этой же работе был предложен заслуживающий внимания способ определения коэффициентов целевой функции, который сводится к следующему.
Вначале каждый тренер составляет список показателей (как физических, так и умственных), которыми должен обладать тот или иной спортсмен, чтобы во время игры занять в команде место, которое для него отвел тренер. На основании этих списков делается попытка создать множество, состоящее из п показателей, взаимна исключающих друг друга и вместе с тем образующих исчерпывающий перечень, другими словами, делается попытка определить независимые показатели.
Затем каждый тренер определяет относительную значимость, (весовой множитель) каждого показателя, включенного в перечень, с учетом места, которое занимает игрок во время игр.
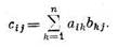
Обозначим сводную матрицу весовых множителей через В (bij — весовой множитель, приписываемый i-му показателю, если игрок занимает j-е место в команде).
После этого главный тренер определяет относительную значимость каждого из М мест в команде с точки зрения выявления потенциальных возможностей команды, вновь используя метод Черчмена — Аккофа (j-му месту приписывается весовой множитель Wj).
| |
В результате получают оценку cij возможности i-го игрока занять j-е место в команде, т. е.
|
|
При необходимости можно также оценить вклад dij в игру команды i-го игрока, занимающего j-е место:
|
|
Таким образом, задача сводится к задаче назначения, решение которой находится с
помощью стандартного метода линейного программирования. Другими словами, определяются некоторые переменные Хij (которые принимают значения 0 или 1) так чтобы максимизировать сумму величин dijXij по всем i-м местам и всем j-м игрокам при условии, что все места заняты и каждый игрок назначается не более чем на одно место. Этот метод оказался весьма эффективным при решении проблемы расстановки игроков.
