Организация досугаРефераты >> Социология >> Организация досуга
Рассмотрим вероятностную модель игры в гольф, в основе которой лежат следующие предположения:
— мастерство игрока (или качество игры) характеризуется исключительно распределением вероятностей попадания мяча в каждую из 18 лунок игровой площадки;
— это распределение является стационарным;
— количество очков, выигранных по каждой лунке, является независимым;
— очки по лунке, выигранные одним игроком, являются независимыми по отношению к очкам других игроков.
Эта модель позволяет определить вероятность того, что игрок А победит игрока В в игре, в которой счет ведется по числу ударов, или в матчевой встрече; вероятность того, что игроки А и В закончат встречу в смешанной игре вничью; вероятность того, что игроки А и В закончат встречу в матчевой игре вничью. Все эти величины могут быть определены также для любого игрока А, имеющего фору НА и играющего против игрока В, имеющего фору Нв. (Наоборот, зная вероятностное распределение очков для одного игрока, можно определить целесообразную величину предназначенной для него форы.)
| |
2.4 Организация тренировок и формирование команд
В работе Хси [18] рассматриваются проблемы, связанные с осуществлением руководства футбольной командой основной лиги, при этом главное внимание уделяется формированию состава команды. Эта проблема приобретает особую актуальность в связи с тем, что в состав футбольной команды на международных соревнованиях может быть заявлено, самое большее, 20 игроков, а в одной игре могут участвовать не более 14 спортсменов. Поэтому в работе детально рассматриваются вопросы «оптимальной» избыточности. Кроме того, в ней анализируются вопросы, связанные с оптимальной возрастной структурой команды, с ее иерархической структурой, с определением полупериода восстановления, т. е. полного цикла игрока.
| |
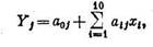
На первом этапе формирования модели необходимо было точно определить причинно-следственные связи между результатом, показанным в каждом виде соревнования (пятиборье включает 5 видов), и временем, потраченным на каждый вид тренировок. В модели было гипотетически принято, что такая связь может быть выражена следующим соотношением:
где Yj — результат в j-м виде соревнований, выраженный в соответствующих единицах (т. е. в секундах для беговых видов, в метрах для прыжков и метаний). Коэффициенты в приведенном соотношении вычислялись путем использования пошаговой линейной регрессии на собранных данных. Интересно, что для всех пяти видов соревнований самый низкий коэффициент корреляции был равен 0,98.
| |
— общее время, которое в течение недели спортсмен может уделить тренировкам, ограничено;
— общее время, посвященное в течение недели силовым тренировкам, не должно превышать точно установленного максимума;
— объем тренировок на скорость должен быть по крайней мере равен объему тренировок на выносливость;
— объем тренировок по общей физической подготовке должен быть больше, чем объем тренировок по отработке техники;
— количество часов в неделю, посвященных тренировкам по отработке техники, должно составлять 50—200% среднего количества часов, посвященных этим тренировкам к данному моменту времени;
— максимально и минимально допустимое количество часов, посвященных развитию мускульной силы, аэробному и анаэробному развитию тела для увеличения выносливости, должны быть определены так, чтобы предотвратить перенапряжение и его вредные последствия.
Все эти ограничения были выражены линейными функциями, и оптимальные значения переменных Xi модели были определены с помощью методов линейного программирования. Полученные результаты оказались вполне приемлемыми. Однако при их использовании необходимо принимать во внимание ограничения, заложенные в модели.
| |
Нельзя не согласиться, что спорт является благодатной областью для применения методов исследования операций. Тем не менее, если судить по числу опубликованных работ, то именно эта область до сих пор не привлекла к себе должного внимания со стороны исследователей систем (как практиков, так и теоретиков).
