Смола
При современном промышленном производстве смол все чаще возникает необходимость использования крупных мощностей Для этого необходимо, во-первых, сооружать крупные реакторы и, во-вторых, применять непрерывные способы производства. Попытки применения трубчатых реакторов для непрерывного производства кончались неудачей из-за технических трудностей (происходит прилипание смол к стенкам реактора, в результате чего невозможно контролировать экзотермическую реакцию; кроме того, расходы по эксплуатации оборудования оказывались слишком высокими). В России разработан • промышленный способ
-19-
непрерывного производства смол, согласно которому вместо трубчатого используют многоступенчатый реактор, в котором отдельные ступени расположены друг над другом, а не в виде каскада.
Для растворов фенолоформальдегидных смол, конденсируемых в щелочной среде при постоянной температуре, отношение времени, необходимого для образования метилольных групп, ко времени взаимодействия составляет от 1 : 10 до 1 : 20. Поэтому трудно упорядочить протекание параллельных реакций (образование метилольных групп и сшивание при отщеплении воды); Поликонденсацию проводят в спиральном реакторе.
Продукты поликонденсации могут быть также получены следующим образом: компоненты перед реакцией или смесь во время реакции подвергают волновому или корпускулярному облучению, а затем проводят поликонденсацию в. нейтральной среде. Достоинство этошо метода заключается в том, что в зависимости от продолжительности или дозы облучения можно регулировать степень сшивания продуктов поликонденсации.
Переработка феноло-формальдегидных олигомеров
Феноло-формальдегидные олигомеры являются полупродуктами для производства феноло-формальдегидных пластических масс (фенопластов). В состав фенопластов, помимо олигомера (резола или новолака), входят наполнитель, отвердитель (для новолаков), катализатор отверждения (для резолов) пластификатор и красители. В зависимости от природы наполнителя и его дисперсности фенопласты делятся на прессовочные материалы и слоистые пластики.
К прессовочным материалам относятся:
—пресспорошки (наполнитель — древесная мука, каолин, слюда);
—волокниты (наполнитель — хлопковая целлюлоза);
—асбоволокниты (наполнитель — асбест);
—стекловолокниты (наполнитель — стеклянное волокно). К слоистым пластикам относятся:
—текстолит (наполнитель — ткань);
—гетинакс (наполнитель — бумага);
—древесно-слоистые пластики (наполнитель — слои древесины).
Особую группу фенопластов составляют газонаполненные пенофенопласты и сотофенопласты.
Для превращения фенопластов в феноло-формальдегидные пластические массы их подвергают термической обработке. Во многих случаях эта операция совмещается с операцией формования изделия. Фенопласты перерабатываются методами горячего прессования, литья под давлением, экструзией. При этом происходит отверждение полимерной фазы и образование пространственной сетчатой («сшитой») структуры, в которой макромолекулярные цепи олигомеров соединены между собой метиленовыми «мостиками»:
-20-
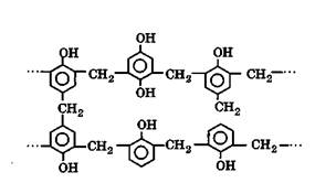
Такие сшитые структуры получили название резитов.
Механизм отверждения различен для резольных и новолачных олигомеров. Термореактивные резолы отверждаются при нагревании в отсутствии отвердителей. При этом продолжается реакция поликонденсации и метиленовые мостики между фенольными ядрами образуются за счет содержащихся в них метилольных групп. Процесс отверждения ускоряется введением ускорителей (катализаторов) в виде оксида кальция или магния.
Феноло-формальдегидные пластические массы относятся к числу весьма распространенных многотоннажных продуктов. Они используются во многих отраслях промышленности и народного хозяйства. Из пресспорошков изготавливаются армированные и неармированные детали электро- и радиотехнических устройств, ненагруженные детали машин, изделия общетехнического назначения. Из волокнитов производятся элементы корпусов, шестерни, штурвалы, тормозные колодки. Фаолит применяется как антикоррозионный материал для изготовления химической аппаратуры. Текстолит и древесно-слоистые пластики используются в производстве деталей узлов трения, крупных конструкционных деталей (шкивы, зубчатые колеса). Стеклотекстолит применяется в машиностроении, судостроении и самолетостроении, пено - и сотофенопласты — для изготовления строительных и декоративных элементов. Растворы ФФП используются в качестве кислотоупорных клеев и лаков.
-21-
