Технология нуклеофильного замещения функциональных групп в органических соединениях
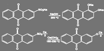
3 Автоклавное щелочное плавление с известью. Этот способ используется главным образом при щелочном плавлении сульфокислот антрахинона и в других аналогичных случаях, когда обычные методы приводят к введению в ароматическое ядро двух орто-расположенных гидроксигрупп.[4]
Реакцию проводят в присутствии КNО3 (так называемый окислительный плав) и 200 °С.
(67)
Важнейшими параметрами, определяющими результат щелочного плавления, являются температура ведения реакции и концентрация щелочи.
Едкий натр — не только реагент, но и среда, в которой протекает превращение. Поэтому во многих случаях используется значительный избыток щелочи. Едкий натр плавится при температуре 327,5 ºС. Чтобы обеспечить подвижность плава при более низких температурах, используют концентрационные растворы щелочи (40—42% раствор или 70—73% раствор, упаренный до 80—85%) или же добавляют в щелочь небольшое количество воды. Так, едкий натр, содержащий 10% воды, плавится при температуре 270—290 °С. В процессе плавки вода испаряется и температура реакционной массы поднимается.[13]
Сульфокислоты бензольного ряда обменивают сульфогруппу на гидроксил в жестких условиях, при температуре 300—340 °С. Таким образом получают фенол и резорцин. При синтезе прозерина щелочное плавление натриевой соли м-диме проводят при 275—290 °С.
(68)
Активированная сульфогруппа обменивается на гидроксигруппу в более мягких условиях. При наличии в молекуле нескольких сульфогрупп можно подобрать температуру процесса и концентрацию щелочи таким образом, что замещаться будет только наиболее активированная сульфогруппа. Электронодонорные заместители в о- и п-положениях к сульфогруппе будут затруднять реакцию щелочного плавленяя, а электроноакцепторные — облегчать.[10]
Нитросульфокислоты и хлорсульфокислоты ароматического ряда в реакциях щелочного плавления не используют вследствие образования значительного количества побочных продуктов.
Обработка готового щелочного плана включает нейтрализацию избыточной щелочи, отделение сульфита, выделение и очистку гидроксисоединений.
Готовый щелочной плав разбавляют водой. Эту операцию называют гашением щелочного плава. Для выделения сульфита натрия в твердом со стоянии полученную массу нагревают до 80—90 °С, а затем отфильтровывают и промывают на фильтре выпавший сульфит. Гидроксисоединение выделяют при подкислении щелочных маточников. Таким методом пользуются, например, при получении фенола и 2-нафтола.
В тех случаях, когда сульфит отделяют в виде раствора, плав разбавляют большим количеством воды, достаточным для его полного растворения. Избыток щелочи нейтрализуют кислотой. Нейтрализацию ведут до полного выделения гидроксисоединения, которое отделяют от раствора сульфита отстаиванием или фильтрацией.[11]
В некоторых случаях более выгодным оказывается проводить разложение сульфита кислотой:
Для полного удаления сернистого газа из реакционной массы процесс проводят при 80—100 °С и хорошем перемешивании. Выделяющийся сернистый газ поглощают раствором щелочи таким образом, чтобы получить сульфит натрия, который используется в качестве сырья во многих производствах.[12]
Аппаратура в процессах щелочного плавления работает в очень тяжелых условиях. Установлено, что расплавленные щелочи в присугствии органических веществ агрессивно действуют на черные металлы. Металл становится хрупким. По механическим свойствам и коррозионной стойкости в среде концентрированных щелочей при высокой температуре лучшим металлом является никель. Однако из чистого никеля аппаратуру делают редко, так как она получается слишком дорогой. Обычно котлы для щелочного плавления изготавливают из легированного чугуна или легированной стали, содержащей никель, хром и молибден в качестве легирующих присадок. Однако даже при использовании легированных чугунов срок службы плавильных котлов не превышает 2—З лет. Вследствие необходимости поддержания высокой температуры обогрев плавильных котлов обычно ведется топочными газами. В районах с дешевой электроэнергией можно использовать также электрообогрев. Для предотвращения пригорания щелочного плава при подвижных плавах используют пропеллерные мешалки, а при вязких — якорные. Для щелочной плавки под давлением применяются обычные автоклавы.
Гашение плана проводят в стальных котлах с рамными или лопастными мешалками. Аппараты для подкисления разбавленного плана обязательно должны быть защищены от кислотной коррозии — футерованы или освинцованы.[13]
Замещение сульфогруппы аминогруппой протекает при сплавлении натриевой соли сульфокислоты с амидом натрия:
(70)
Большого практического применения эта реакция не получила.
Замена активированной сульфогруппы может быть проведена при обработке водным раствором аммиака под давлением:
(71)
Примером может служить промышленное получение аминоантрахинонов из соответствующих сульфокислот:
(72)
В тех случаях, когда сульфогруппа обладает особенно высокой нуклеофильной подвижностью, например:
(73)
Взаимодействие с аммиаком проходит при комнатной температуре и атмосферном давлении.
При взаимодействии с гидразидом натрия сульфогруппа в мягких условиях может быть замещена на гидразо-группу:
(74)
Так же как и атом галогена, сульфогруппа может быть замещена не только гидроксильной или аминогруппой, но и другими нуклеофилами. При нагревании до 200—300 °С щелочные соли аренсульфокислот могут быть превращены в амины, фенолы, тиолы, карбоновые кислоты или нитрилы:
(75)
2.2 Примеры осуществления нуклеофильной замены сульфогруппы в промышленности
Производство фенола. Одним из промышленных методов производства фенола является щелочное плавление натриевой соли бензолсульфокислоты:
(76)
При выдержке 30 мин и 15% избытке щелочи оптимальная температура этого процесса З2О—ЗЗО °С. В случае применения едкого кали температура щелочного плавления 280—285 °С, а при использовании смеси 80% NаОН и 20% КОН — 300 °С. Выход фенола составляет около 96%.
В реактор загружают 70—75% раствор щелочи и упаривают его до концентрации щелочи 80—85% в плавильных котлах. Из стальных мерников в котел постепенно вводят раствор бензолсульфоната. Реакционная вода, образующаяся в процессе плавления, испаряется с некоторым количеством фенола (1—1,5% общего количества). Пары воды, содержащие фенол, конденсируются в скрубберах, орошаемых водой, и образующийся конденсат передают на выделение фенола. По окончании операции щелочной плав сливают в наполненный водой стальной гаситель, снабженный мешалкой. Пары воды, выделяющиеся из гасителя, содержат часть фенола. Их конденсируют и конденсат присоединяют к фенольным водам.
