Технология производства эпоксидных смол
Содержание
эпоксидный смола пенопласт компаунд
Введение
1. Эпоксидные смолы
1.1 Технологический процесс изготовления эпоксидной смолы
1.2 Отверждение эпоксидных смол
1.3 Взаимодействие эпоксидных смол с различными отвердителями
1.4 Марки эпоксидных смол
2. Области применения
2.1 Эпоксидные компаунды
2.1.1 Эпоксидные формовочные компаунды
2.1.2 Эпоксидные смолы для инструмента и приспособлений
2.1.2.1 Формы из эпоксидных смол для заливочных и формовочных компаундов
2.1.2.2 Эпоксидные смолы для матриц
2.1.2.3 Системы из эпоксидных смол для штампования металла.
2.1.3 Литье, заливка, капсулирование, герметизация.
2.1.4 Стеклопластики на основе эпоксидных смол
2.1.5 Клеи на основе эпоксидных смол
2.1.6 Марки эпоксидных композиций
2.2 Пенопласты из эпоксидных смол
2.1 Химические пенопласты
2.2 Синтактические пенопласты
2.3 Покрытия эпоксидными порошками
3. Технология герметизации погружного насоса эпоксидным компаундом
3.1 Характеристика сырья
3.2 Описание принципа работы линии
3.3 Выбор оборудования
Заключение
Список использованной литературы
Приложение
Технологическая схема линии герметизации эпоксидным компаундом
Введение
Производство эпоксидных смол началось с исследований проводимых в США и Европе накануне второй мировой войны. Первые смолы — продукты реакции эпихлоргидрина с бисфенолом А — были получены в промышленных масштабах в 1947 г. За 10 лет уровень их производства составил свыше 13,6 тыс. т., в последующие шесть лет уровень производств их увеличился в 3 раза. В конце 50-х годов были получены новые эпоксидные смолы, отличные от диглицидилового эфира; в конце 1960 г. промышленностью освоено производство не менее 25 типов смол. На этом этапе термин «эпоксидная смола» становится общим и в настоящее время применяется к большому семейству материалов.
Эпоксидные смолы относятся к классу термореактивных пластиков и сходны с такими материалами как фенолы и полиэфиры. Ряд ценных свойств эпоксидных смол привел к их широкому применению в промышленности. Эпоксидные смолы универсальны вследствие своей незначительной усадки, легкости отверждения, хорошей химостойкости и чрезвычайно высокой прочности клеевого соединения.
1. Эпоксидные смолы
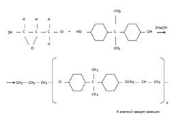
Эпоксидная смола — олигомеры, содержащие эпоксидные группы и способные под действием отвердителей (полиаминов и др.) образовывать сшитые полимеры. Наибольшее практическое и широкое применение для получения эпоксидных смол нашли дифенилолпропан (диан или бнсфенол А) и эпихлоргидрин. Реакция получения эпоксидной смолы протекает по схеме, изображенной на рис. 1.
Рис
Реакция протекает в щелочной среде в присутствии раствора NаОН. Ниже приводятся примерная рецептура и технология изготовления эпоксидной смолы.
Состав:
Дифенилолпропан — 100 массовых частей (1,0 моль)
Эпихлоргидрин — 93 массовых частей (2,3 моля)
Едкий натр (10-процентнын раствор) — 35 массовых частей (2,0 моля)
Дифенилолпропан представляет собой твердые кристаллы, температура плавления 154-156 °С, содержание свободного фенола не более 0,1%, влаги не более 1%. Эпихлоргидрин — прозрачная бесцветная жидкость, температура кипения 116-118 °С, плотность 1,15-1,16, температура вспышки 40,5 °С, содержание основного вещества 98-99%.
1.1 Технологический процесс изготовления эпоксидной смолы
В реактор из нержавеющей стали с пароводяной рубашкой и мешалкой загружают эпихлоргидрин и нагревают до 40-50 °С. При работающей мешалке постепенно вводят дифенилолпропан. После растворения дифенилол пропана и получения однородного раствора тонкой струей из мерника добавляют раствор едкого натра и при 60-70 °С проводят процесс конденсации, который продолжается 1,5-2ч. Все это время мешалка должна работать. После этого выключают обогрев аппарата, загружают воду, продолжая перемешивание. После прекращения перемешивания образовавшейся смоле дают отстояться. Разделение слоев происходит быстрее при 40-50 °С. Отстоявшийся водный слой (сверху) отделяют, а оставшуюся смолу промывают теплой водой при 40-50 °С. Количество воды определяется по объему (обычно двух-, трехкратное). Промывка (перемешивание, отстаивание с последующим отделением водного слоя) продолжается до полного удаления поваренной соли, образовавшейся при реакции. Промывка контролируется пробой (промывных вод) на присутствие хлора и щелочи.
Сушка смолы производится в том же аппарате. Для этого смолу нагревают до 40-50 °С, подключают холодильник по прямой схеме (с вакуумом) и сушат до прекращения конденсации воды в холодильнике и вспенивания смолы. Сушку смолы производят и без вакуума—при атмосферном давлении и температуре около 120°С. Сушка смолы продолжается до получения прозрачной пробы смолы при 20-25 °С. Готовая смола сливается в алюминиевую тару.
В зависимости от молярного соотношения исходных компонентов конечные продукты могут быть жидкими, вязкими и твердыми.
В связи с тем, что промывку жидкой (низкомолекулярной) смолы производить значительно легче, чем вязкой (высокомолекулярной), сначала получают низкомолекулярные смолы, которые затем сплавляют с необходимым по расчету количеством дифенилол пропана и при этом получают необходимые высокомолекулярные смолы.
Эпоксидные смолы представляют собой жидкие, вязкие или твердые прозрачные термопластичные продукты от светлого до темно- коричневого цвета. Они легко растворяются в ароматических растворителях, сложных эфирах, ацетоне, но не образуют пленок, так как не твердеют в тонком слое (пленка остается термопластичной).
Эпоксидные смолы по своему строению являются простыми полиэфирами, имеющими по концам эпоксигруппы, которые являются весьма реакциононеспособными (рис. 2).
При действии на эпоксидные смолы соединений, содержащих подвижный атом водорода, они способны отверждаться с образованием трехмерных неплавких и нерастворимых продуктов, обладающих высокими физико-техническими свойствами. Таким образом, термореактивными являются не сами эпоксидные смолы, а их смеси с отвердителями и катализаторами.
В качестве отвердителей для эпоксидных смол применяются различные вещества: диамины (гексаметилендиамин, метафенилендиамин, полиэтиленполиамин), карбоновые кислоты или их ангидриды (малеиновый, фталевый).
Эпоксидные смолы в смеси с вышеуказанными отвердителями образуют термореактивные композиции, обладающие ценными свойствами:
• высокой адгезией к поверхности материала, на которой они отвердевают;
• высокими диэлектрическими свойствами;
• высокой механической прочностью;
• хорошей химостойкостью и водостойкостью;
• при отвердевании не выделяют летучих продуктов и отличаются малой усадкой (2-2,5%).
Высокие физико-технические свойства эпоксидных смол, отличающие их от многих остальных смол, определяются строением их молекулы, а главным образом — наличием эпокси группы.
