Разработка россыпного месторождения Лужанки
где со-коэффициент борозды, со=1,17;
4,С - опытные коэффициенты для бульдозеров мощностью 108-180 л.с.,
5; - угол откоса в направлении движения, 5/=50°; х - степенной показатель, х=0,5.
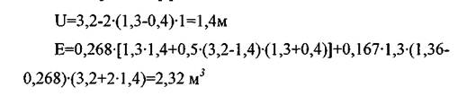
G;=ctg57 - коэффициент заложения переднего откоса вала; h - высота вала, h=B=l,3 м, т.к. порода не является переувлажненной;
U - длина верхнего гребня вдоль ножа, м
где D - ширина вала, D=3,2 м; В - высота ножа, В=1,3 м; m - глубина борозды, т=0,4 м;
a=ctg5
-
коэффициент заложения бокового откоса вала;
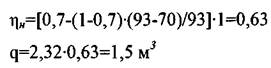
т|„ - коэффициент наполнения ножа;
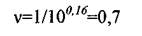
где v - коэффициент наклона пути;
«
где К -коэффициентконструкции ножа, К=10; 8 - коэффициент направления уклона, 8=0,16;
\с - расстояние доставки по горизонтам, 1с=93м;
\у - протяженность наклонного пути по горизонтам, 1у=70м; С, - коэффициент перемещения, Ј=1
kb - коэффициент использования рабочего времени, Кв=0,8; Кукл - коэффициент, учитывающий уклон на участке работы, Кр- коэффициент, учитывающий разрыхление пород, Кр=1,25; Тц - время цикла бульдозера, с.
где Тц - время наполнения отвала бульдозера, Т„=30с,
Ьг,Ь„ - соответственно расстояние движения бульдозера в груженом и
порожнем состоянии, м;
V2, VM - соответственно скорость движения бульдозера в груженном и порожнем состоянии, м/с;
Тр - время разгрузки, Тр=4с.
Определим сменную и суточную производительность бульдозера ДЗ-
27С
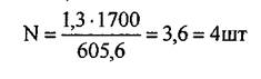
Определим необходимое количество бульдозеров Д-521А для бесперебойной работы пром. прибора ПКС-1-1200
где К^ - коэффициент резерва, K^l ,3
Определим необходимое количество бульдозеров ДЗ-27С для бесперебойной работы пром. прибора ПКС-1-1200
где Кр- коэффициент резерва, Ку=1,3
Для бесперебойной работы пром. прибора ПКС-1-1200 необходимо 5 бульдозеров Д-521А или 6 бульдозеров ДЗ-27С.
Для разработки россыпи экскаваторным способом будем применять один универсальный экскаватор Э-1252Б, четыре автосамосвала КрАЗ-256Б, пять бульдозеров Д-521А.
4.1.4 Технико-экономическое сравнение вариантов Бульдозерный способ разработки
На выемке и транспортировке песков применяются бульдозера Д-521А на базе трактора Т-180Г. Промывка ведется на пром.приборе ПГШ-П-50.
Капитальные затраты на принятое оборудование сведены в таблицу.
Таблица
|
Наименование |
Количество, шт |
Оптовая цена ед. оборудования, руб |
Балансовая стоимость ед. оборудования, руб |
Всего, руб |
|
Бульдозер ДЗ-521А |
3 |
965000 |
1109750 |
3329250 |
|
Пром. прибор ПГШ-П-50 |
1 |
853802 |
981872 |
981872 |
|
Итого: |
4311122 |
Удельные производственные затраты на 1 маш-ч работы на выемку и обогащение песков сведены в таблицу .
Таблица . - Удельные производственные затраты на 1 маш-ч работы добычного оборудования
|
Калькуляция себестоимости, руб. |
Бульдозера Д-521А(Зед.) |
Пром. Прибор ПГШ-П-50 |
Всего |
|
Основная заработная плата |
264.12 |
72.23 |
336.35 |
|
Допол. заработная плата |
39.99 |
10.85 |
50.84 |
|
Отчисления на соц. страхование |
24.18 |
6.51 |
30.69 |
|
Топливо |
233.43 |
- |
233.43 |
|
Электроэнергия |
- |
292.02 |
292.02 |
|
Вспом. материалы |
33.48 |
49.91 |
83.39 |
|
Текущий ремонт |
375.72 |
19.84 |
395.56 ' |
|
Амортизация |
254.82 |
89.28 |
344.1 |
|
Себестоимость по прямым затратам |
1225.74 |
340.37 |
1566.11 |
|
Цеховые расходы |
115.32 |
37.82 |
153.14 |
|
Итого цеховая себестоимость |
1341.06 |
378.19 |
1719.25 |
|
Цеховая себестоимость с учетом монтажа и демонтажа |
- |
400.82 |
•** |
|
Удельные кап. затраты |
832.31 |
327.29 |
1159.6 |
|
Удельные приведенные капитальные затраты |
124.84 |
49.09 |
173.93 |
|
Приведенные затраты |
1465.9 |
449.91 |
1915.81 |
|
Итого приведет |
1ые затраты: - 6' |
705335 руб/сезон |
