Разработка россыпного месторождения Лужанки
Степень нарушений земной поверхности и природного ландшафта горными работами определяются площадью и глубиной нарушения. Нарушение ландшафта может быть полным и частичным. Полное нарушение сопряжено с уничтожением растительности и почвенного покрова на больших площадях пойм, склонов и террас, а частичное нарушение - с деградацией почв и разрушением растительного покрова. Частичное нарушение земной поверхности менее опасно, однако при длительном воздействии его на природный ландшафт может оказаться таким же опасным, как и полное нарушение. В связи с этим промышленное освоение новых россыпей и расширение действующих предприятий должны базироваться на соблюдении основных законов сохранения природного равновесия, чтобы не допустить возрастания роли антропогенного фактора до необратимых процессов, когда рекультивация нарушенных земель* практически становится малоперспективной. С этой целью при проектировании горных работ особое внимание необходимо уделять сохранению растительного покрова, который является главной частью биоценозов и важнейшим компонентом природной среды. Недооценка в проектах роли этого фактора создает предпосылки к прогрессирующему росту площадей антропогенных ландшафтов, покрытых, так называемыми стерилизованными породами (лишенными почвенного слоя) и отвалами промывки, и сокращению потенциальных возможностей сельского и лесного хозяйства.
Характерным для вовлекаемых в эксплуатацию россыпей является более сложные условия залегания. В связи с этим для обеспечения эффективности разработки россыпей возникает необходимость проведения комплекса подготовительных работ, которые, как правило, должны опережать очистную выемку и выполняться с учетом особенностей последующей рекультивации площадей земельного отвода. Особое внимание в этих условиях следует уделять выбору таких технологических схем и организации разработки, при которых обеспечивается рациональное сочетание очистных и вскрышных работ, а также возможность размещения отвалов в выработанном пространстве и создания технологического рельефа, позволяющего с минимальными затратами осуществлять рекультивацию земель, нарушенных горными работами.
Работы по рекультивации целесообразно выполнять в следующей последовательности: планировка отвалов, устройство русел рек (ключей), создание требуемых уклонов поверхности и при необходимости нанесение плодородного слоя на спланированную поверхность. Планировку отвалов и выпо-лаживание бортов горных выработок следует проводить с учетом заданных отметок и кратчайшего пути транспортирования пород в выемки и техногенные водоемы.
Наиболее рационально рекультивацию нарушенных земель осуществлять непосредственно в ходе разработки месторождения и заканчивать не позднее двух лет после завершения эксплуатационных работ на данной площади.
Процесс восстановления земель разделяется на два этапа. На первом этапе выполняется комплекс организационно-технических мероприятий, проводимых непосредственно горнодобывающим предприятием в процессе эксплуатации месторождения. Сюда относятся работы по выполаживанию откосов старых выработок, планировке отвалов, нанесению плодородного слоя, а также мелиоративные и другие работы, необходимые для приведения нарушенных земель в состояние, пригодное для использования их, но назначению.
На втором этапе выполняются агротехнические и мелиоративные работы по восстановлению плодородия нарушенных земель после завершения на них горнотехнической рекультивации (озеленение) и мероприятия по возвращению этих земель под сельско- и лесохозяйственное использование, а также по освоению в рыбохозяйственных целях водоемов, образовавшихся в горных выработках.
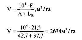
Определение объема планировочных работ.
Определим площадь поперечного сечения отвала, подлежащую планировке
где h - высота отвала, h=l 0,9м; а - угол рабочего откоса отвала, а=18°;
Р - естественный угол откоса отвала, Р=50°;
у - угол вершины отвала, у=110°.
Определим ширину основания отвала
Определим объем планировочных работ на площади 1га
Объемы рекультивации по выполаживанию бортов разрезов, засыпке канав, исправление русел рек расчетам не поддаются. Они (по данным практики рекультивации в объединении Забайкалзолото) равны 7-9% от общих объемов планировочных работ.
В данном проекте мы предусматриваем выполаживание откосов отвалов до 6, с дальнейшей их засадкой древесно-кустарниковой растительностью. Высаживать растения будем рядами перпендикулярно основному водотоку с расстоянием в междурядьях 2,5-3,Ом, в ряду 0,8-10м.
Мероприятия по снижению потерь и разубоживания
С целью снижения потерь и разубоживания выполняются следующие работы:
1. систематическое опробование бортов блоков, сравниваются полученные результаты с экономически целесообразным содержанием;
2. осуществляется контроль мощности предохранительного слоя торфов путем проходки проб-лунок по сетке 20x20 метров;
3. осуществляется контроль мощности обрабатываемых песков со стороны плотика;
4. проводится балансовое опробование при отработке каждого блока или группы блоков под руководством главного обогатителя;
5. выполняется оперативное опробование;
6. в технологию включено окучивание песков с целью снижения разубоживания оплывающими торфами;
7. осуществляется контроль за параметрами, установленными качественно- количественной схемой обогащения.
Мероприятия по снижению потерь металла при обогащении
Эффективность гравитационного метода извлечения золота при оборотом водоснабжении обогатительных комплексов в значительной степени зависит от повышенного содержания постоянно накопляемых глинистых тонкодисперсных частиц в технологической воде. Накапливание характерных классов глинистых частиц (<74мкм) в воде связано с показателями циркуляции замкнутых систем водоснабжения транспортно-обогатительных комплексов. Многократно используемая вода не должна оказывать отрицательного влияния на извлечение ценных компонентов в гравитационных аппаратах при оборотом водоснабжении. На полноту извлечения ценного компонента при промывке золотосодержащих песков наибольшее влияние оказывает содержание глины и крупность золота, сконцентрированного в золотосодержащих песках. Для данных песков с учетом реологических
свойств оборотных вод предельно допускаемое содержание илисто-глинистой фракции в воле составляет 93,5%. Необходимо не допускать повышение концентрации глинисто-илистых фракций выше этого значения, при повышении добавляют флокулянты.
Мероприятия по сохранности металла
1. Рабочие полигона должны быть ознакомлены под роспись с требованиями инструкций по сохранности металла.
2. Шлюз-обогатительная установка пром.прибора по всей длине накрывается прочными металлическими крышками, шарнирно соединенными с одной из стенок колод, крышки закрываются на замки и опечатываются.
