Разработка россыпного месторождения Лужанки
• Вскрышные работы
• Монтаж промприбора, гидромонитора, установка насосной станции, монтаж водоотвода
• Наполнения пруда-отстойника водой
3.2 Очистка поверхности от леса, кустарника и пней
Площади, отведенные под разработку месторождений, размещение отвалов и проходку нагорной канавы и руслоотвод, должны быть очищены от леса. Вырубку леса предусматривается проводить в весенний период. Для этого предусматривается механизация этих работ с использованием бензороторных пил, трелевочного трактора, автокрана и лесовозных грузовых машин.
Мелкий лес диаметром Ю-15см предусматривается валить бульдозером Д-521 А. Корчевку пней предусматривается производить при помощи землеройной техники используемой на вскрыше.
3.3 Расчет сечения руслоотводной канавы
Максимальный мгновенный расход воды 10% обеспеченности
47,3м3 /с
Уклон руслоотвода 0,01
Угол откоса боковых стенок канавы 45°.
Протяженность руслоотвода 3450м
Рассчитаем наибольшую скорость воды
где К - коэффициент, учитывающий шероховатость боковых поверхностей и углы откоса стенок канавы |3, К = 8,62; I - уклон канавы Q - расход воды, м3/с
c,d - коэффициенты, учитывающие шероховатость боковых поверхностей канавы,
Определим сечения водного потока:
Определим глубину потока:
где В - ширина руслоотвода по низу, В=4,92м т.е. ширине отвала бульдозера Д-521А плюс зазоры по 0.5м с каждой стороны Р - угол откоса стенок канавы, (3=45°
Определим поперечное сечение канавы:
Определим объем выемки руслоотвода:
3.4 Вскрышные работы
Для разработки этого месторождения предусмотрена бульдозерная вскрыша торфов с применением параллельной системы пологих выездов вдоль всего полигона на два борта с размещением отвалов за пределами контуров запасов. Такой способ выемки пород вскрыши широко применяют весной на мерзлых породах. Для наиболее производительной работы необходима следующая толщина талого слоя:
• для малольдистых пород не содержащих булыжников и валунов - 7 см;
• для пород с льдистостью 20-30% и с валунами размером до 20см - Юсм;
• для валунистых пород до 15 см.
Увеличение толщины талого слоя летом замедляет вскрышные работы. К осени целесообразно больше увеличить глубину оттаявших пород. При вскрышных работах предохранительный слой торфов над пластом „оставляют толщиной 20 см.
В связи с тем, что оттайка торфов в конце апреля, в начале мая не превышает 6см в сутки, что не может обеспечить наиболее производительную работу бульдозеров используемых на вскрыше. В связи с этим для удаления мерзлых пород вскыши будем . применять предварительное рыхление пород, что позволит облегчить загрузку отвала бульдозера, увеличит коэффициент наполнения отвала бульдозера, увеличит производительность бульдозеров. Для рыхления пород будем применять рыхлитель Д-575С на базе трактора Т-180.
Определим производительность рыхлителя,
I
где qcm - сменная производительность рыхлителя, м3/смену,
Ртехн - техническая производительность рыхлителя, м3/час, т|и - коэффициент использования рыхлителя, т|и= 0,7.
Для удаления пород вскыши будем применять бульдозер Д-521А на базе трактора Т-180.
Определим производительность бульдозера.
где q - объем доставляемого вала, м3;
где Е - объем вала набираемого в борозде, м ;
где 1 - длина верхней площадки вала в направлении движения бульдозера;
l=L-arh,
где L - длина вала, м;
где со-коэффициентборозды, ю=1,17;
Ј,Ј - опытные коэффициенты для бульдозеров мощностью 108-180 л.с., ^=0,6, Ј=0,01.
5i - угол откоса в направлении движения, 5i=50°;
D - ширина вала, D=3,92 м;
х - степенной показатель, х=0,5.
ai=ctg8i - коэффициент заложения переднего откоса вала;
h - высота вала, h=B=l,35 м, т.к. порода не является переувлажненной; 1=1,5-0,84-1,35=0,366 м
U - длина верхнего гребня вдоль ножа, м U=D-2-(B-m)-c, где D - ширина вала, D=3,92 м;
В - высота ножа, В=1,35 м;
m - глубина борозды, т=0,4 м;
<r=ctg8 - коэффициент заложения бокового откоса вала;
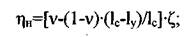
г|н - коэффициент наполнения ножа;
где v - коэффициент наклона пути;
v=l/Ke,
где К - коэффициент конструкции ножа, К=10;
8 - коэффициент направления уклона, 8=0,16; v=l/10°'16=0,7
1С - расстояние доставки по горизонтам, 1=60м;
1У - протяженность наклонного пути по горизонтам,1=45м;
С, - коэффициент перемещения, Ј=1
Кв - коэффициент использования рабочего времени, Кв=0,8;
Кукл - коэффициент, учитывающий уклон на участке работы, Кукл=0,7;
Кр- коэффициент, учитывающий разрыхление пород, Кр=1,25;
Тц - время цикла бульдозера, с.
где Тн - время наполнения отвала бульдозера, Т„=30с,
Lr,Ln - соответственно расстояние движения бульдозера в груженом и
порожнем состоянии, м;
Vr, Vn - соответственно скорость движения бульдозера в груженном и порожнем состоянии, м/с;
Тр - время разгрузки, Тр=4с.
Тц=2,15+80/60+80/84+0,4= 4,9 мин.
i
Определим сменную и суточную производительность бульдозера
QcM=Q'TCM
QCM=28,3-12=283 м3/смену
Vcyr~VcM'f>
Qcyi=283.6-2= 566 м3/сутки
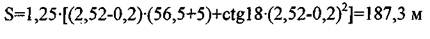
Расчет вскрышного отвала Определим площадь отвала
где Кр - коэффициент разрыхления пород, Кр=1,25;
тт - мощность торфов, тт=2,52;
ninp - мощность предохранительной рубашки, тпр=0,2;
bi - ширина россыпи, равная половине действительной ширины, т.к. вскрышу размещают на борта долины, В1=56,5м; 1 - ширина предохранительной бермы, 1=5м; Р - угол откоса борта отвала, Р=18°
