Разработка россыпного месторождения Лужанки
Исходя из расчетов выбираем насос Д500-36
Техническая характеристика центробежного насоса Д5 00-3 6
|
Показатель |
Величина |
|
Подача, м5/час |
500 |
|
Манометрический напор, м |
38 |
|
Частота вращения рабочего колеса, об/мин |
1000 |
|
Необходимая мощность двигателя, кВт |
ПО |
|
Диаметр рабочего колеса, мм |
525 |
|
Масса (без двигателя), кг |
725 |
4.4 Производительность предприятия и режим работ
Горногеологические и горнотехнические условия залегания месторождения, наличие запасов и учитывая что отработку месторождения будем вести бульдозерным способом, принимаем отработку месторождения одним пром. прибором ПГШ-П-50 в течении трех лет.
Учитывая производительность промывочной установки ПГШ-П-50, устанавливаем следующую производительность участка:
где: р - паспортная производительность, ПГШ-П-50; р = 50 м5 /час п - продолжительносгь промывочного сезона, для условий Забайкалья 160 суток
Т - количество часов работы пром.прибора в сутки.; Т = 20 часов, Q = 50-160-20 = 160000 м5/сезон
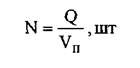
Определим количество приборостоянок исходя из производительности при. прибора
где Vn - объем песков промываемый на одной приборостоянке
где Ь„ - длина полигона, Ь„ = 300 м; Вр - ширина россыпи, Ер = 113 м;
П - мощность песков, учитывая предохранительную рубашку и задирку плотика, П = 2,07 м
Режим работы предприятия
Учитывая климатические условия, низкую среднегодовую температуру, в связи с которой в октябре происходит замерзание воды в пруду-отстойнике, что затрудняет промывку породы и делает ее экономически невыгодной принимаем:
• продолжительность промывочного сезона - 160 суток;
• рабочую неделю непрерывная;
• число рабочих смен в сутки - 2;
• число рабочих часов в сутки 24;
• число часов промывки - 20.
4.5 Расчет параметров ГПР при бульдозерном способе ведения добычных работ 4.5.1 Расчет объема отстойника
Составим уравнение баланса воды для схемы без сброса сточных вод
Цподз ' Цот 'QaniM Цувл Чисп'Чфил?
где <\подзд - приток в систему водоснабжения подземных вод;
qom - воды оттаивания мерзлых пород; Qamn - приток воды в систему водоснабжения от атмосферных осадков;
Цуел - расход воды на увлажнение отвалов;
<\исп - расход воды на испарение;
<\ФШ - фильтрационные потери.
Приток подземных вод
где К^, - коэффициент фильтрации, Кф= ЗОм/сут Н„ - мощность водоносного горизонта, Н„= 2м, 1К - длина обводненного контура
Количество воды получаемой от оттаивания льда qom= У„-КЛ
где V4 - объем породы в целике, м
Кл - коэффициент льдистости, К^= 0,2 t - продолжительность суток ; t =24 часа
V4" - объем песков, mj V4m - объем торфов, mj
Q4 - часовая производительность промприбора Q4= 50 м^/час tpa6 - время промывки в сутки tpa6= 20 часов
где kb - коэффициент вскрыши К#= 1.5 ы3/м3
Приток воды за счет атмосферных осадков
где h0 - слой осадков за теплый период
\1/ - относительная интенсивность осадков, \|/=0,6;
Ј - коэффициент стока, Ј=0,45;
Н;% - максимальный суточный сток с 1% - обеспеченности, Н?% = 150 мм;
'kp% - переводной коэффициент, \»/= 1,45;
со - площадь участка работ, с которой дождевые воды попадают на участок работ;
Расход воды на увлажнение отвалов
i
где Уэф,Угая - объем складирования эфелей и гали в илоотстойник за час;
Р;,р2 ~ процент отвалов выше и ниже уреза воды соответственно, Рг= 0,2, р> 0,01.
Q4- часовая производительность пром. прибора, Q4= 50м5
Потери воды на испарения
где Евп - испарение с водной поверхности, Ет= 50 мм; Sen - площадь водной поверхности, S= 50000 м ; Кгя - поправка на глубину водоема, K^= 1; Кзащ - коэффициент защищенности водоема, Кзащ=О,8. Т - безледоставный период, час Т = 160-24 = 3840 часов,
Расход воды на фильтрацию (через наращенную часть дамбы) принимаем q<pm= 30 м/час
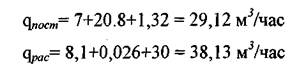
В связи с тем, что объем поступления воды в отстойники 29,12м5/час меньше, чем расход из них,38,13 м5/час необходима подпитка свежей водой в размере 9,01 м5/час.
Определим вместимость илоотстойника:
где А - сезонная производительность участка, м ;
X - коэффициент, учитывающий условия складирования, Х=1;
Кр - коэффициент разрыхления, Кр= 1,25;
d,do,05 - количество фракций диаметром -1 и 0,05-0,01 мм, %;
К„ - коэффициент набухания, К„=1.2;
R- расход воды, R=16 mj;
Определяем объем выработанного пространства:
Т.к. часть отвала в объеме Wdon= 216000-72715,5 =143284,5 м5 мы должны складировать выше уровня воды с применением бульдозера, то нам придется увеличивать емкость илоотстойника за счет повышения высоты плотины.
При расчете технико-экономических показателей из ГПР будем учитывать:
