Разработка россыпного месторождения Лужанки
Удельные приведенные затраты на добычу и обогащение 1 м3 песков составили 50.11 руб/м5.
ВЫВОД:
Наименьшие удельные приведенные затраты на добычу и обогащение 1 м3 песков имеет гидромеханизированный бульдозерный способ ведения добычных работ.
4.2 Выбор системы разработки
Для добыче песков россыпи р.Лужанки будем использовать веерную систему разработки. При веерной системе бульдозерные заезды направляют по вееру, центром которого является бункер.
Для лучшего стока в водосборную канаву дождевых и подземных вод, выделяющихся при оттайке пород, выемку песков начинают с наиболее удаленных от бункера площадей. Выемку ведут так, чтобы поддерживать постоянный уклон поверхности забоя от бункера к канаве. Это ускоряет осушение песков, что способствует повышению производительности бульдозера. Определим длину бульдозерного заезда
Вз = 0.167 (л/4Ь2 +В2 +л/4В2+Ь2)+1д , где
В - длина блока по ширине россыпи, м (В=113м)
L - протяженность площади в направлении падения россыпи выше или нижее бункера (длина крыла), м (Ь=130м)
1д - средневзвешенное расстояние, учитывающее заезд бульдозера вдоль борта при выемке песков на прибортовой полосе (Ь=2м).
В3 =0.167(л/4*1302+1132 +л/4*1132+1302) + 2=92.88*93м
Определим количество приборостоянок из условия оттайки песков с учетом предохранительной рубашки и задирки плотика.
B-hOT П • т
где hom - толщина оттайки, hom=0,08 м.
хт 130-0,08
N =------------- = 5шт
2.07
За один промывочный сезон пром.прибор типа ПГШ-И-50 нужно будет переставить пять раз.
|
Показатель |
Величина |
|
Производительность : | |
|
суточная, тыс.м^ |
1,0-2,0 |
|
часовая, MJ |
50 |
|
Высота гидравлического подъема, м |
11-17 |
|
Наибольший размер пропускаемого камня, мм |
125 |
|
Расход воды, л/с |
140 |
|
Потребляемая мощность, кВт/л.с. |
190/350 |
|
Общая масса, т |
30 |
|
Среднее число обслуживающих рабочих в смену, чел |
2 |
4.3 Выбор оборудования для промывки песков 4.3.1 Расчет параметров гидроэлеватора
Для транспортирования горной массы применяется гидроэлеватор. КПД гидроэлеватора редко превышает 20%, поэтому напорное гидротранспортирование при помощи гидроэлеватора менее эффективно, чем, например, при помощи землесоса.
Гидроэлеватор представляет собой струйный аппарат. Принцип работы гидроэлеватора: через насадку подается с большой скоростью струя воды, которая создает вакуум, обеспечивающий засасывание пульпы из зумпфа. В диффузоре кинетическая энергия потока от постепенного уменьшения скорости течения преобразуется в потенциальную. Диффузор соединяется с трубопроводом, по которому пульпа течет дальше.
Гидроэлеваторы находят широкое применение при разработке россыпных месторождений.
Достоинствами гидроэлеватора является простота конструкции, надежность в эксплуатации (в виду отсутствия вращающихся частей), возможность работы с подсосом воздуха через всасывающую трубу вплоть до засасывания сухого материала.
Недостатком является низкий КПД, из-за смешения двух потоков (рабочего и засасывающего), двигающихся с различной скоростью, для расчета гидроэлеватора должны быть известны высота подъема пульпы, расход воды, консистенция пульпы.
Потери воды на гидровашгерде составят 20%.
Определим ориентировочный напор гидроэлеватора:
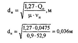
где Н„ - глубина приема, Н„=1,5 м; Нв - высота подъема песков, Hg=l 1,5м.
Определим напор рабочей жидкости у насадки гидроэлеватора:
где р - коэффициент отношения напоров, Р-ОД;
ф - скоростной коэффициент, ф=0,96; Н0= 14,3/(0,1-0,96>155 м.водн.ст.
Определим удельный вес пульпы
где у - удельный вес породы, у=2 т/м5; g - расход воды необходимый на размыв 1 м3 породы, 10 м5; m - пористость гидросмеси, пг=0,2
Определим производительность гидроэлеватора по пульпе
где Q"^ - часовая производительность пром.прибора, м5/час; 8г - объемная консистенция гидросмеси, 8г=0,3
Определим расход рабочей жидкости
где j0 - плотность воды;
а„ - коэффициент подсасывания, а„=3
Определим диаметр трубопровода рабочей жидкости
где v0 - скорость движения жидкости, v0=2,3 м/с
Принимаем диаметр трубы равный В=300мм
Определим скорость вылета струи из насадки
Определим диаметр насадки
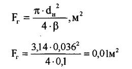
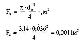
Определим площадь сечения насадки
Определим площадь сечения горловины
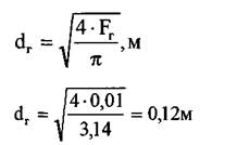
Определим диаметр горловины
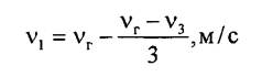
Определим фактическую скорость движения пульпы в горловине
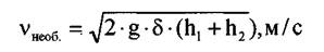
Определим необходимую скорость движения пульпы
где 8 - степень восстановления давления пульпы в диффузоре, 5=0,774
Vr>VHeo6.
Определим диаметр первой части диффузора
где V; - скорость движения в первой части диффузора;
