Разработка россыпного месторождения Лужанки
где v3 - скорость движения пульпы в третьей части диффузора
где dj - диаметр третьей части диффузора.
Выбирается методом подбора диаметра трубопровода.
Определим диаметр второй части диффузора
Определим длину первой части диффузора
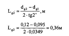
Определим длину второй части диффузора
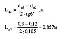
Определим длину третьей части диффузора
Определим общую длину диффузора
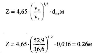
Определим расстояние от насадки до горловины
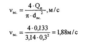
Определим скорость всасывающего трубопровода
Определим КПД гидроэлеваторной установки
Исходя из расчетов принимаем гидроэлеватор УГЭ-П-350
|
Показатель |
Величина |
|
Диаметр | |
|
насадки, мм |
85;90 |
|
горловины, мм |
170 |
|
пульповода, мм |
300;350 |
|
Напор воды у насадки, м |
60-65 |
|
Расход напорной воды, л/сек |
270 - 300 |
|
Высота подъема, м |
12-14 |
|
Длина пульповода, м |
23 |
|
Масса, т |
6,8 |
4.3.2 Расчет параметров гидромонитора
Определим скорость вылета струи из насадки
где ф - коэффициент скорости, ф=0,94;
g - ускорение свободного падения, §=9,81м/с2 Н - действительный рабочий напор у насадки гидромонитора, Н=100 м.води.ст.
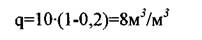
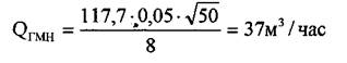
Определим часовой расход воды за вычетом 20%удельного расхода воды на размыв и дезинтеграцию песков
Определим расход воды гидромонитором
где Q4np - часовая производительность, м5/час
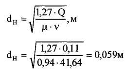
Определим диаметр насадки
Набор насадок: 50;70;90;100;150 мм.
Принимаем стандартный диаметр насадки гидромонитора ё„=50мм.
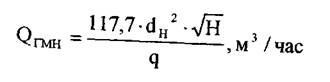
Производительность гидромонитора составит
где Н - рекомендуемый напор, Н=50м
Принимаем гидромонитор ГМН-250С
Техническая характеристика гидромонитора ГМН-250С
|
Показатель |
Величина |
|
Диаметр водного отверстия, мм |
250 |
|
Рабочее давление у насадки, Мпа |
10 |
|
Максимальный расход воды, м5/час |
10 |
|
Управление |
Ручное |
|
Диаметр сменных насадок, мм |
50;70;90;100 |
|
Угол поворота ствола в горизонтальной плоскости, гр |
360 |
|
Допускаемый напор, KTC/CMJ |
50 |
4.3.3 Расчет параметров насосной станции и водовода
Принимаем скорость движения воды по всей системе водоснабжения равной 1,75 м/с.
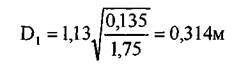
Определим диаметр отдельных участков водовода
где Q/ - расход воды на отдельных участках водовода, м3/с
принимаем D/ = 0,35 м
принимаем D^ = 0,25 м
принимаем dj = 0,2 м
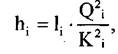
Определим потери напора
где п - количество участков водовода h, - потери напора на i-ом участке
м.водн.ст.
где К - модуль расхода,
1, - длина 1-го участка водовода,м.
h = hj + h2 + h3 = 0,71 + ОД 3+0,26 = 1,1м.воднст.
Определим напор насоса
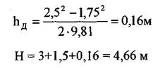
где Ц*, - давление на выходном патрубке, Нм = 3 м; Н« - вакуум на входном патрубке, Н = 1,5 м; Ьэ - приращение динамического напора
где VH,Ve - соответственно скорость в напорном и всасывающем патрубке, м\с.
Определим полезную площадь напора
Определим мощность, потребляемую насосом
Определим коэффициент быстроходности
Где п - частота вращения рабочего колеса, п = 1000
Определим необходимую мощность двигателя насоса
