Разработка алгоритмов контроля и диагностики системы управления ориентацией космического аппаратаРефераты >> Авиация и космонавтика >> Разработка алгоритмов контроля и диагностики системы управления ориентацией космического аппарата
Обратимые изменения, как правило, являются следствием ионизации материалов и окружающей среды. Они проявляются в увеличении концентрации носителей тока, что приводит к возрастанию утечки тока, снижению сопротивления в изоляционных, полупроводниковых, проводящих материалах и газовых промежутках. Обратимые изменения в материалах, элементах и аппаратуре в целом могут возникать при мощностях экспозиционных доз 1000 Р/с, Проводимость воздушных промежутков и диэлектрических материалов начинает существенно увеличиваться при мощностях доз 10000 Р/с и более [31].
Проникающая радиация, проходя через различные среды (материалы), ослабляется. Степень ослабления зависит от свойств материалов и толщины защитного слоя. Нейтроны ослабляются в основном за счет столкновения с ядрами атомов. Вероятность процессов взаимодействия нейтронов с ядрами количественно характеризуется эффективным сечением взаимодействия и зависит главным образом от энергии нейтронов и природы ядер мишени.
Энергия гамма-квантов при прохождении их через вещества расходуется в основном на взаимодействие с электронами атомов. Поэтому степень их ослабления практически обратно пропорциональна плотности материала.
Защитные свойства материала характеризуются слоем половинного ослабления, при прохождении которою интенсивность гамма-лучей или нейтронов уменьшается в два раза [32].
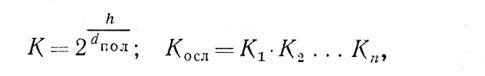
Если защитная преграда состоит из нескольких слоев различных материалов, например грунта, бетона и дерева, то подсчитывают степень ослабления для каждого слоя в отдельности и результаты перемножают:
где К — коэффициент ослабления одного защитного слоя преграды (материала); Косл — общий коэффициент защиты преграды, состоящей из n-го количества слоев различных материалов; h — толщина (высота) слоя материала, см; dпол — толщина слоя материала, ослабляющего излучение в два раза.
Толщина слоя половинного ослабления для нейтронного излучения определяется по справочным данным, для гамма-излучения может быть вычислена по плотности материала: dпол — 23/р, где р – плотность материала, г/см3; 23 см. — слой воды (плотность 1 г/см3), ослабляющей гамма-излучение ядерного взрыва в два раза [31].
Защитные сооружения гражданской обороны надежно обеспечивают защиту людей от проникающей радиации. Расчет защитных свойств этих сооружений производится по гамма-излучению, так как доза гамма-излучения значительно выше дозы нейтронного излучения, а слои половинного ослабления для строительных материалов приблизительно одинаковы.
На объектах, оснащенных электронной, электротехнической и оптической аппаратурой, следует предусматривать меры по защите этой аппаратуры от воздействия проникающей радиации. Повышение радиационной стойкости аппаратуры может быть достигнуто путем [32]:
- применения радиационностойких материалов и элементов;
- создания схем малокритичных к изменениям электрических параметров элементов, компенсирующих .и отводящих дополнительные токи, выключающих отдельные блоки и элементы на период воздействия ионизирующих излучений;
- увеличения расстояний между элементами, находящимися под электрической нагрузкой, снижения рабочих напряжений на них;
- регулирования тепловых, электрических и других нагрузок;
- применения различного рода заливок, не проводящих ток при облучении;
- размещения на объектах специальных защитных экранов или использования элементов конструкций объекта для ослабления действий ионизирующих излучений на менее радиационностойкие детали.
Заключение. Гражданская оборона несет непосредственную ответственность за защиту населения и экономики страны от оружия массового поражения и других средств нападения противника, а также за проведение спасательных и неотложных аварийно-восстановительных работ при ликвидации последствий нападения противника [32].
В организационном отношении гражданская оборона построена так, чтобы при необходимости она обеспечивала использование в своих интересах людских и материальных ресурсов, предусматривала успешное решение задач с наименьшим отрывом людей от их производственной деятельности.
Гражданская оборона, является одним из важнейших и основных средств защиты населения при военных действиях и стихийных бедствиях. Необходимость развития и усовершенствования гражданской обороны - повышается с каждым днем, в связи с ухудшением экологического состояния Украины, и Земли в целом. Интенсивное развитие ядерного и химического оружия, обуславливает разработку новых средств защиты для населения и государственных объектов стратегического значения [31, 32].
8 ОХРАНА ТРУДА И ОКРУЖАЮЩЕЙ СРЕДЫ
8.1 Общие вопросы охраны труда
Охрана труда представляет собой систему законодательных актов, социально-экономических, организационных, технических, санитарно-гигиенических и лечебно-профилактических мероприятий и средств, обеспечивающих безопасность, сохранение здоровья и работоспособности человека в процессе труда. Этот закон определяет основные положения по реализации конституционного права граждан на труд, охрану труда, охрану их жизни и здоровья, регулирует взаимоотношения между работниками и администрацией по вопросам охраны труда и распространяется на все виды деятельности. В Украине законодательство по охране труда состоит из Закона “Об охране труда”, Кодекса законов о труде и других нормативных актов. В таблице 8.1 приведены законы и нормативные документы, которые использованы в разделе.
Таблица 8.1 – Законы и нормативные документы, которые использованы в разделе
|
№ п/п |
Обозначение закона или нормативного документа |
Название закона или нормативного документа |
Дата утверж-дения и введения в действие |
Орган власти утвердивший документ |
| 1 | 2 | 3 | 4 | 5 |
|
1 2 3 4 5 6 7 8 9 10 11 12 - 13 14 |
Закон Украины Закон Украины ГОСТ 12.0.003 – 74* ССБТ ГОСТ 12.1.005 – 88* ССБТ. ГОСТ 12.1.003 – 89. ССБТ ДНАОП 0.03-3.14-85 ГОСТ 12.1.012-90 ССБТ ДНАОП 0.00-1.31-99. ГОСТ 12.1.045 – 84 ССБТ ГОСТ 12.2.007.0-75 ССБТ. ГОСТ 14255-69 ДБН В.1.1 ГОСТ 12.1.004-91 ССБТ. ISO 14001-97 |
Об охране труда Об охране окружающей природной среды Опасные и вредные производственные факторы. Классификация. Общие санитарно-гигиенические требования к воздуху рабочей зоны. Шум. Общие требования безопасности. Санітарні норми допустимих рівнів шуму на робочих місцях №3223-85 Вибрационная безопас-ность. Общие требования. Правила охр. труда при эксплуатации ЭВМ. Электростатические по-ля. Допустимые уровни на рабочих местах и тре-бования к проведению контроля. Изделия электрические. Общие требования безопасности Аппараты электричес-кие напряжением до 1000В. Оболочки. Степени защиты. Захист від пожежі. Пожежна безпека об’єктів будівництва. Пожарная безопасность. Общие требования. Система управления ок-ружающей средой. |
25.11.2002 г. 25.06.1991 г. Введен 01.01.1976. Введен 01.01.89. Введен 01.07.89 1985 Введ. 01.07.91. 10.02.1999 Введ. 01.07.85. Введ. 01.01.76. 1970 2002 Введ. 01.07.91. 1998 |
Верховный Совет Украины Верховный Совет Украины Кабинет Министров Кабинет Министров Кабинет Министров Кабинет Министров Кабинет Министров Кабинет Министров Кабинет Министров Кабинет Министров Кабинет Министров Кабінет Міністров Кабинет Министров Кабинет Министров |
