Финансовые отношения
Оценка финансового состояния и финансовой устойчивости предприятия является важным элементом управления предприятием.
Ее результаты имеют значение для деловых партнеров, потенциальных инвесторов.
Информационной базой для проведения оценки финансового состояния и финансовой устойчивости является «Баланс предприятия» и «Приложение к балансу». В частности, используя показатели мобильных средств, которые подразделяются на переменную часть, образуемую за счет краткосрочной задолженности, и постоянный минимум, который образуется за счет долгосрочного заемного капитала и части собственного капитала можно установить платежеспособность предприятия по текущим операциям.
Недостаток мобильных средств может привести к задержке платежей по текущим операциям, а излишек свидетельствует о неэффективности использовании капитала.
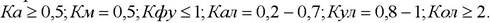
Показателями, характеризующими финансовое положение предприятия, являются также:
- Коэффициент автономии (или независимость)
, где - собственный капитал, ВБ - валюта (итог) баланса;
- Коэффициент маневренности
, где - собственные оборотные средства;
- Коэффициент финансовой устойчивости
, где ЗК - долгосрочный заемный капитал;
- Коэффициент абсолютной ликвидации
, где ДС - денежные средства, ЦБ - ценные бумаги, -краткосрочная задолженность;
- Уточненный коэффициент ликвидации
, где ДЗ-дебиторская задолженность;
- Коэффициент покрытия или общий коэффициент ликвидности Кол=МС(ТА)КЗ, где МС(ТА) –мобильные средства (текущие активы). В практике финансового анализа финансовые показатели сравнивают с некоторыми эталонными значениями:
Отметим, что в странах с рыночной экономикой насчитывается около 80 финансовых коэффициентов. Однако наибольшее распространение в оценке финансового положения предприятия получили коэффициенты ликвидности. В данном случае рассмотрены наиболее часто применяемые финансовые коэффициенты, уже вошедшие в практику предприятий России.
В условиях массовой неплатежеспособности и применения ко многим предприятиям процедур банкротства (признания несостоятельности) объективная и точная оценка финансово-эк-го состояния приобретает первостепенное значение. Главным критерием такой оценки являются показатели платежеспособности и степень ликвидности предприятия.
Платежеспособность предприятия определяется его возможностью и способностью одновременно и полностью выполнять платежные обязательства, вытекающие из торговых, кредитных и иных операций денежного характера.
Ликвидность предприятия определяется наличием у него ликвидных средств, к которым относятся наличные деньги, денежные средства на счетах в банках и легко реализуемые элементы оборотных ресурсов. Ликвидность отражает способность предприятия в любой момент совершать необходимые расходы.
Для оценки платежеспособности и ликвидности могут быть использованы следующие основные приемы (рис. 1.1)
Анализ ликвидности баланса заключается в сравнении активов, сгруппированных по степени их ликвидности, с обязательствами по пассиву, сгруппированными по срокам их погашения. Расчет и анализ коэффициентов ликвидности позволяет выявить степень обеспеченности текущих обязательств ликвидными средствами. Главная цель анализа движения денежных потоков - оценить способность предприятия генерировать денежные средства в размере и в сроки, необходимые для осуществления планируемых расходов и платежей.
Для оценки ликвидности и платежеспособности предприятия необходимо рассмотреть оценку ликвидности баланса.
Задача оценки баланса - определить величину покрытия обязательств предприятия его активами, срок превращения которых в денежную форму (ликвидность) соответствует сроку погашения обязательств (срочности возврата).
Для проведения анализа актив и пассив баланса группируется (рис.1.2) по следующим признакам:
- по степени убывания ликвидности (актив);
- по степени срочности оплаты (пассив).
Где: А1 - наиболее ликвидные активы. К ним относятся денежные средства предприятий и краткосрочные финансовые вложения.
А2 - быстрореализуемые активы. Дебиторская задолженность и прочие активы .
А3 - медленно реализуемые активы. К ним относятся статьи из разд. II баланса “Оборотные активы” и статьи “Долгосрочные финансовые вложения” из разд. I баланса “Необоротные активы”.
А4 - труднореализуемые активы. Это статьи разд. I баланса “Необоротные активы”.
Группировка пассивов происходит по степени срочности их возврата:
П1 - наиболее краткосрочные обязательства. К ним относятся статьи “Кредиторская задолженность” и “Прочие краткосрочные пассивы”.
П2 - краткосрочные пассивы. Статьи “Заемные средства” и другие статьи разд. III баланса “Краткосрочные пассивы”.
П3 - долгосрочные пассивы. Долгосрочные кредиты и заемные средства.
П4 - постоянные пассивы. Статьи раздела IV баланса “Капитал и резервы”.
При определении ликвидности баланса группы актива и пассива сопоставляются между собой .
Условия абсолютной ликвидности баланса:
А1≥П1
А2≥П2
А3≥П3
А4≤П4
Необходимым условием абсолютной ликвидности баланса является выполнение первых трех неравенств, четвертое неравенство носит так называемый балансирующий характер: его выполнение свидетельствует о наличии у предприятия собственных оборотных средств. Если любое из неравенств имеет знак, противоположный зафиксированному в оптимальном варианте, то ликвидность баланса отличается от абсолютной.
При этом недостаток средств по одной группе активов компенсируется избытком по другой, но на практике менее ликвидные средства не могут заменить более ликвидные.
Сопоставление ликвидных средств и обязательств позволяет вычислить показатели текущей ликвидности, которые свидетельствуют о платежеспособности (+) или неплатежеспособности (-) организации.
После анализа ликвидности баланса необходимо произвести оценку относительных показателей ликвидности и платежеспособности
Для качественной оценки платежеспособности и ликвидности предприятия кроме анализа ликвидности баланса необходим расчет коэффициентов ликвидности (табл. 1.2).
Цель расчета - оценить соотношение имеющихся активов, как предназначенных для непосредственной реализации, так и задействованных в технологическом процессе, с целью их последующей реализации и возмещения вложенных средств и существующих обязательств, которые должны быть погашены предприятием в предстоящем периоде.
