Характеристика методов финансового анализа как инструментов для принятия управленческих решений
где ВА - внеоборотные активы (итог первого раздела актива баланса);
ОА - оборотные активы (итог второго раздела актива баланса);
ЗУ - задолженность учредителей по взносам в уставной капитал;
ДО - долгосрочные обязательства;
КО - краткосрочные обязательства;
ДБП - доходы будущих периодов.
2. Относительные показатели (позволяют делать суждение о структуре имущества, ее прогрессивности).
2.1 Доля внеоборотных активов в валюте баланса. Рассчитывается отнесением стоимостной оценки внеоборотных активов (итог раздела I баланса) к общей сумме активов фирмы (итог баланса по активу) и показывает, какая доля общей суммы вложенных в предприятие из всех источников средств омертвлена в долгосрочных активах.
2.2 Доля основных средств в валюте баланса. Рассчитывается отнесением суммы по статье "Основные средства" к валюте баланса.
2.3 Доля активной части основных средств показывает какую часть основных средств составляют активы, непосредственно участвующие в производственном процессе.
2.4 Коэффициенты износа и годности характеризуют основные средства с позиции возмещения сделанных в них вложений.
Коэффициент износа представляет собой отношение накопленной амортизации к первоначальной (восстановительной) стоимости основных средств.
Коэффициент годности является отношением остаточной стоимости основных средств к их первоначальной (восстановительной) стоимости.
2.5 Коэффициенты обновления и выбытия.
Коэффициент обновления показывает, какую часть от имеющихся на конец отчетного периода основных средств составляют новые основные средства.
Коэффициент выбытия показывает, какая часть основных средств, с которыми фирма начала деятельность в отчетном периоде, выбыла из-за ветхости и по другим причинам.
2.6 Показатели изменения основных средств. По данным отчетности рассчитываются абсолютный и относительный приросты, а также темп роста основных средств по первоначальной (восстановительной) или остаточной стоимости.
1.2.1 Анализ состояния запасов
Создание материально-производственных запасов является необходимым условием обеспечения непрерывного производственно-коммерческого процесса. Запасы должны быть оптимальными. Излишние запасы приводят к необоснованному отвлечению средств из хозяйственного оборота. Недостаток запасов может привести к сокращению объема производства продукции и уменьшению суммы прибыли. Оба варианта ведут к ухудшению финансового положения предприятия.
При изучении величины и структуры запасов основное влияние следует уделить выявлению тенденций их изменения.
Для выявления излишних или дефицитных запасов следует фактические остатки материально-производственных ресурсов сопоставить с их плановой потребностью. По данным складского и аналитического учета определяется средний запас каждого вида материалов, сравнивается с нормативным, устанавливаются отклонения, их причины и принимаются меры по сокращению или пополнению запаса, необходимого для ритмичной работы предприятия.
Рост запасов оценивается положительно, если сопровождается увеличением объема производства продукции. Опережающие темпы роста объема продажи продукции по сравнению с темпами роста производственных запасов приводят к ускорению оборачиваемости оборотных средств, к их высвобождению из хозяйственного оборота. Чем медленнее производственных запасы оборачиваются в процессе функционирования предприятия, тем больше требуется хозяйственных средств для продолжения производственно-хозяйственной деятельности предприятия.
Для оценки оборачиваемости запасов используются показатели:
1. период оборота
2. количество оборотов
Период оборота характеризует количество дней, в течение которых оплачиваются счета и реализуются материально-производственные запасы, т.е. показывает продолжительность цикла, в течение которого материально-производственные запасы превращаются в наличные денежные средства.
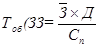
Период оборота материально-технических запасов определяется по формуле[11]:
, (1.3)
где, Тоб (З) - период оборота запасов, дней;
- средняя величина запасов, руб.;
Вр - выручка от продажи продукции (работ, услуг) за анализируемый период (без учета налога на добавленную стоимость, акцизов и иных обязательных платежей), руб;
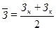
Д - длительность анализируемого периода (за год - 360, 9 месяцев - 270, дней и т.д.) Информация о величине выручки от продажи содержится в форма №2 "Отчет о прибылях и убытках". Средняя величина запасов определяется по данным баланса как среднеарифметическая сумма на начало (Зн) и конец (Зк) анализируемого периода[12]:
(1.4)
Более точный расчет средних товарно-материальных запасов основан на данных о ежемесячных остатках материалов:
, (1.5)
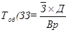
где Зn - величина запасов в n-м месяце, руб. Поскольку производственные запасы учитываются по стоимости их приобретения, то для более точного расчета периода оборота запасов можно использовать себестоимость реализованной продукции. Данный показатель исключает искажающее влияние на оборачиваемость отпускных цен и определяется по формуле[13]:
, (1.6)
где Сn - полная себестоимость реализованной продукции (сумма всех затрат, вложенных в производство и реализацию продукции, включая коммерческие и управленческие расходы), руб.
Коэффициент оборачиваемости запасов показывает число оборотов, которые совершают оборотные средства за анализируемы период, рассчитывается делением количества дней анализируемого периода на продолжительность одного оборота в днях:
, (1.7)
где Коб (З) - коэффициент оборачиваемости запасов, раз.
Ускорение оборачиваемости достигается за счет сокращения времени производства и времени обращения и оказывает положительный эффект на результаты деятельности предприятия. Эффективность оборачиваемости запасов устанавливается следующим образом:
, (1.8)
где:
- сумма высвобожденных из оборота средств (-) в результате ускорения оборачиваемости запасов или дополнительно привлеченных средств (+), необходимых для продолжения производственно-коммерческой деятельности (хотя бы на уровне прошлого года), в результате замедления оборачиваемости запасов;
- скорость оборота запасов товарно-материальных ценностей соответственно отчетного и предыдущего года;
- выручка от продажи (за минусом налога на добавленную стоимость, акцизов и аналогичных обязательных платежей в бюджет) отчетного периода;
