Характеристика методов финансового анализа как инструментов для принятия управленческих решений
Д - длительность анализируемого периода, дней.
1.2.2 Анализ дебиторской задолженности
Дебиторская задолженность - сумма долгов, причитающихся предприятию, от юридических или физических лиц в итоге хозяйственных взаимоотношений с ними. Обычно долги образуются от продаж в кредит.
Дебиторская задолженность условно делится на два вида: нормальную и "неоправданную". Нормальная дебиторская задолженность возникает в следствии применяемых форм расчетов за товары и услуги, при выдаче средств под отчет на различные нужды, при предъявлении претензий другим предприятия и т.д. "Неоправданная" дебиторская задолженность возникает в следствии недостатков работы предприятия, например, при выявлении недостач и хищений товарно-материальных ценностей и денежных средств. Наличие крупной дебиторской задолженности следует рассматривать как фактор, отрицательно влияющий на финансовое положение предприятия, а рост ее в динамике свидетельствует о его ухудшении.
Условием обеспечения финансовой устойчивости организации является превышение суммы дебиторской задолженности над суммой кредиторской задолженности.
Для анализа дебиторской задолженности, кроме баланса, используют материалы первичного и аналитического бухгалтерского учета.
В процессе анализа изучают динамику, состав, причины и сроки образования дебиторской задолженности; устанавливается сумма нормальной и просроченной задолженности.
Обобщенным показателем качества задолженности является оборачиваемость. Рассмотрим показатели оборачиваемости согласно методике Дыбаль С.В. [14]
Коэффициент оборачиваемости рассчитывается как отношение объема отгрузки по отпускным ценам (выручка от продажи без налога на добавленную стоимость) к средней величине дебиторской задолженности
по формуле:
, (1.9)
где
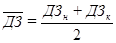
- коэффициент оборачиваемости кредиторской задолженности, раз; Вр - выручка от продажи (нетто), руб. Средняя дебиторская задолженность определяется под данным бухгалтерского баланса как среднеарифметическая величина дебиторской задолженности на начало
и конец
анализируемого периода:
(1.10)
Если в течение года величина выручки от продажи значительно изменялась по месяцам, то применяют уточненный способ расчета средней величины дебиторской задолженности, основанный на ежемесячных данных:
, (1.11)
где
- величина дебиторской задолженности на конец n-го месяца.
Коэффициент показывает, сколько раз задолженность образуется в течение изучаемого периода, и характеризует скорость, с которой дебиторская задолженность будет превращена в денежные средства, то есть ликвидность предприятия.
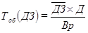
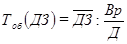
Оборачиваемость дебиторской задолженности может быть рассчитана в днях. Этот показатель отражает среднее количество дней, необходимых для ее возврата.
Период оборота дебиторской задолженности
определяется по формуле:
(1.12)
или
(1.13)
Период оборота (погашения) дебиторской задолженности характеризует срок товарного кредитования потребителей продукции.
Показатели оборачиваемости кредиторской задолженности сравниваются за ряд периодов или со средними показателями по отрасли, с условиями договоров.
Сравнение фактической оборачиваемости с рассчитанной по условиям договоров дает возможность оценить степень своевременности платежей покупателей.
Сокращение сроков погашения платежей приводит к ускорению оборачиваемости капитала.
Сумма высвобожденных (-) или привлеченных (+) средств в результате изменения оборачиваемости дебиторской задолженности определяется формулой:
, (1.14)
где
- скорость оборота дебиторской задолженности соответственно отчетного и предыдущего периода;
- выручка от продажи (нетто) отчетного периода.
Существуют некоторые общие рекомендации, позволяющие управлять дебиторской задолженностью:
1. Постоянно контролировать состояние расчетов с покупателями, особенно по отсроченным задолженностям.
2. Установить определенные условия кредитования дебиторов, например:
· покупатель получает скидку в 2% в случае оплаты полученного товара в течение 10 дней с момента получения товара;
· покупатель оплачивает полную стоимость, если оплата совершается в период с 11-го по 30-й день кредитного периода;
· в случае неуплаты в течение месяца покупатель будет вынужден дополнительно оплатить штраф, величина которого зависит от момента оплаты.
Преимущество в предоставлении скидок покупателям в случае досрочной оплаты состоит не только в том, чтобы сократить объем дебиторской задолженность, но и в том, чтобы уменьшить объем финансирования. Кроме потерь от инфляции, возникающих в связи с несвоевременностью расчетов с покупателями, предприятие-поставщик несет потери, связанные с необходимостью обслуживания долга, а также с упущенной выгодой возможного использования временно свободных денежных средств.
1.2.3 Анализ источников формирования имущества
Пассивы организации (т.е. источники финансирования ее активов) состоят из собственного капитала и резервов, долгосрочных заемных средств и краткосрочных заемных средств. Обобщенно источники средств можно поделить на собственные и заемные. Для общей оценки источников средств предприятия проводится анализ динамики состава и структуры пассива баланса, который дает возможность установить основные показатели, характеризующие финансово-экономическое состояние предприятия. С помощью сравнительного аналитического баланса можно получить наиболее общее представление об имевших место качественных изменениях агрегированных показателей в структуре пассива, а также динамике этих изменений.
Источниками собственных средств предприятия являются: уставный капитал, добавочный капитал, резервный капитал, нераспределенная прибыль отчетного года и прошлых лет (III раздел пассива баланса). В составе собственных источников средств также отражается величина непокрытого убытка отчетного года или прошлых лет, сумма которого уменьшает величину собственного капитала предприятия. Увеличение доли собственных средств за счет любого из перечисленных источников способствует усилению финансовой устойчивости предприятия.
