Понятие о пищевых добавках и их характеристика
Для подтверждения правильности идентификации аликвоты раствора 3 и экстракта вводят в тех же условиях повторно, регистрируя в максимумах хроматографических пиков спектр поглощения БК ( 250 .270 нм) и СК (230 .270 нм). БК имеет три максимума поглощения в указанном интервале спектра — 268, 270 и 272 нм, а СК — один —
254 нм, что является дополнительным идентификационным признаком для подтверждения присутствия их в образце.
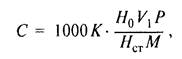
Измеряют высоту пиков стандартов БК и СК и рассчитывают их содержание в мг/кг или мг/дм3 по формуле (до второго десятичного знака) 4
где К — коэффициент, учитывающий потери при извлечении, равный при перегонке с паром и экстракции для БК — 1,2, для СК— 1,25; Р— коэффициент БК и СК в растворе стандарта (раствор 3), мг/см3; Н0 — высота пика БК и СК на хроматограмме экстракта, мм; Нст — высота пика БК и СК на хроматограмме стандартов, мм; Vt — объем экстракта, см3; М— масса продукта, взятого на анализ, г.
Относительные допустимые расхождения результатов определения зависят от содержания консерванта в пробе анализируемого образца, они не должны превышать значения, указанные в таблице:
|
Содержание, мг/кг |
Бензойная кислота |
Сорбиновая кислота |
|
До 300 Свыше 300 |
20 15 |
20 15 |
За конечный результат данных испытаний принимают среднее арифметическое двух параллельных определений. Окончательный результат округляют до первого десятичного знака. Относительные допустимые расхождения результатов определениях не должны превышать 15 %.
2.6. Определение уротропина в пищевых продуктах
Уротропин в среде изопропилового спирта взаимодействует с изопропаноловым раствором хлороводородной кислоты. Вследствие изменения концентрации определяемого вещества в процессе титрования происходит изменение электропроводности раствора: наиболее резкое — вблизи точки эквивалентности. В качестве катода используют вращающийся медный электрод, в качестве анода — медную пластинку.
Реактивы и материалы: пищевой продукт, колба на 25 мл, изопропиловый спирт абсолютный, НС1, амперометрическая титровальная установка.
Ход работы. Пробу пищевого продукта массой 15,00 г растирают и переносят в мерную колбу на 25 мл и доводят до метки изопропанолом. В стакан для титрования пипеткой отбирают 2 мл этого раствора, 15 мл изопропилового спирта и опускают электроды. Включают катодный мотор (частота вращения катода 600—900 об/мин). Устанавливают напряжение —2,0 В и титруют уротропин 1М изопропаноловым раствором хлористоводородной кислоты, приливая его из микробюретки порциями по 0,1—0,2 мл. После каждой прилитой порции фиксируют показания гальванометра. На основании результатов титрования строят кривую зависимости: показания гальванометра — объем титранта (мл). По кривой находят объем титранта, соответствующий точке эквивалентности. Содержание уротропина в процентах: ω% = N HCI V HCI Эуротропина Vт.э. ∙ 100/(1000Va a).
2.7 Определение содержания фенольных соединений в рыбных копченостях
При взаимодействии с 4-аминоантипирином в слабощелочном растворе в присутствии ферроцианида (III) калия фенолы и их производные дают красную окраску.
Ход работы. В ступку помещают 55 г исследуемого продукта и растирают его с дистиллированной водой, затем переносят в круглодонную колбу на 1 л. Остатки кашицы смывают дистиллированной водой с тем расчётом, чтобы общее количество воды в колбе составило 700-750 мл. Затем в колбу добавляют 5 мл 10%-ного раствора винной кислоты и отгоняют фенолы с водяным паром при нагревании колбы на кипящей насыщенной солевой бане. Дистиллят собирают в мерную колбу на 200 мл. Из него отбирают 100 мл в коническую колбу на 250 мл, нейтрализуют МgCO3 до рН 7,2-7,3 и жидкость отгоняют. Отгонку производят при нагревании колбы на асбестовой сетке до тех пор, пока в колбе не останется сухой остаток; дистиллят собирают в мерную колбу на 100 мл, доводят до метки водой, пипеткой отбирают 50 мл в коническую колбу на 250 мл с пришлифованной пробкой, куда приливают также 0,3 мл раствора 4-аминоантипирина и 1 мл р-ра NH3, содержимое колбы энергично перемешивают, приливают 1 мл раствора ферроцианида калия и вновь энергично взбалтывают. Затем замеряют оптическую плотность раствора на ФЭК-2 с зелёным светофильтром (λ = 500 нм). Нулевую точку прибора определяют с помощью контрольного раствора, состоящего из 500 мл дистиллированной воды с добавлением указанных реактивов.
Калибровочный график для количественного расчёта фенольных соединений строят по гваяколу. В стандартных растворах концентрация гваякола составляет 0,001; 0,002; 0,003;…; 0,007 мг/мл.
2.8 Определение содержания нитритов и нитратов в мясных продуктах
Сущность метода основана на реакции с реактивом Грисса с образованием азосоединения.
Приборы и реактивы: фотоэлектрокалориметр, редукционная колонка с губчатым кадмием, CdSO4 20%, цинк металлический гранулированный, 0,14 н NaOH, ZnSO4 0,45%-ый, 2,5% NH4OH, 0,1 н НС1, [кислота сульфаниловая, кислота уксусная 12% раствор, ά-нафтиламин], 0,14 н КMnO4, H2SO4, натрий серноватокислый, крахмал 0,5% раствор, KI, вода дистиллированная. Стандартный раствор Na(K)NO3: 0,1 г соли (перекристаллизованной и высушенной до постоянной массы при 105°С) взвешивают на аналитических весах, переносят дистиллированной водой в мерную колбу на 1000 мл, доводят водой до метки и тщательно перемешивают. Затем 25 мл этого раствора переносят пипеткой в мерную колбу вместимостью 500 мл, доводят до метки и перемешивают. Стандартный раствор NaNO2. Отвешивают 1,0204 г ч.д.а. реактива, переносят в мерную колбу на 1000 мл и ее объем до метки. Затем переносят пипеткой 100 мл в мерную колбу на 1000 мл и объем ее доводят до метки. Из него переносят пипеткой 100 мл в мерную колбу на 500 мл и доводят до метки (раствор I). 5 мл раствора I переносят в мерную колбу на 100 мл и объем ее доводят до метки (образцовый). 1 мл его содержит 0,001 мг азотистокислого натрия.
Ход работы: Построение калибровочной кривой. В 12 мерных колб на 100 мл микробюреткой или пипеткой отмеряют раствора III последовательно 0; 1,0; 1,5; 2,0; 2,5; 3,0; 4,0; 4,5; 5,0; 6,0; 7,0; 8,0 мл. В каждую колбу добавляют 5 мл 5%-ного раствора аммиака, 10 мл 0,1 н раствора соляной кислоты и объем доводят водой до метки. Из приготовленных растворов пипеткой переносят по 15 мл в конические колбочки и туда по 15 мл реактива Грисса и после 15-мин. настаивания (при н.у.) колориметрируют на фотоколориметре с зеленым светофильтром, в кювете с толщиной слоя 2 см, используя в качестве раствора сравнения контрольный раствор на реактивы в первой колбе. Затем вычерчивают кривую, откладывая на оси ординат оптическую плотность, а на оси абсцисс — концентрацию азотистокислого натрия, выраженную в мкг/мл измеряемого раствора.
