Химические методы определения сахаров
Пищевые продукты содержат главным образом дисахариды (сахароза, мальтоза, лактоза), моносахара (глюкоза, галактоза, фруктоза); из трисахаридов — в основном раффинозу. Для большинства продуктов нормируется суммарное содержание сахаров (общий сахар), а для некоторых веществ (карамель, патока и др.), кроме того, содержание редуцирующих сахаров, т. е. сахаров, способных легко окисляться. Все перечисленные выше сахара (за исключением сахарозы) обладают редуцирующей способностью. Общий сахар — это суммарное содержание сахарозы и восстанавливающих низкомолекулярных сахаров, выраженное в процентах сахарозы. В последние годы термин «сахара» применяют только по отношению к моносахаридам.
Молекулярная интерпретация химических — аналитически значимых — свойств сахаров
В природе моносахариды (монозы) распространены и имеют наибольшее значение пентозы общей формулы С5Н10О5 и гексозы общей формулы С6Н12О6, не могут гидролизоваться и превращаться в более простые углеводы. По химическому строению моносахариды представляют собой многоатомные спирты, имеющие альдегидную группу (альдегидоспирты, оксиальдегиды, альдозы — когда на конце углеродной цепи присутствует карбонильная группа) или кетонную группу (кетоспирты, оксикетоны, кетозы — когда карбонильная группа расположена в ином другом положении). Отсюда, глюкоза и фруктоза являются функциональными изомерами. Функциональные изомеры различаются и расположением гидроксильных групп, как это видно из сравнения структур глюкозы и галактозы. Такие пространственные изомеры называются диастереомерами. Они различаются физическими и химическими свойствами.
Для моносахаридов характерна оптическая изомерия (энантиомерия) (Э. Фишер). В их молекулах содержатся асимметрические (хиральные) атомы углерода (С*), находящиеся в sp3-гибридизации и связанные с четырьмя различными атомами или их группами. Энантиомеры имеют идентичные физические и химические свойства. Число оптических стереоизомеров связано с числом асимметрических атомов углерода формулой N = 2n. ![]()
В общем случае молекула с "n" хиральными центрами имеет 2n стереоизомеров, которые представляют собой пары зеркальных антиподов.
В качестве обозначения противоположных конфигураций редуцирующих сахаров с одинаковыми названиями применяются буквы D и L, которые указывают принадлежность к двум рядам. Последний асимметрический атом углерода определяет принадлежность к стереохимическому ряду. Гидроксильная группа справа – D – ряд; слева – L – ряд. В природе одни моносахариды встречаются больше в Д-конфигурации, чем в L, другие наоборот (L-арабиноза часто встречается в растениях, тогда как D-арабиноза обнаружена только в некоторых видах бактерий).
Поскольку молекулы сахаров построены несимметрично, то для них не может быть оптически неактивных мезоформ. Экспериментальный факт, фиксируемый поляриметром, вращения поляризованного света вправо обозначается знаком (+); вращение влево — знаком (-). Символы знаков D(+) – и L(-) могут очень часто не совпадать.
Изображенные линейными формулами альдозы во многом не отражают физические и химические свойства моносахаридов. Такие структуры возможны в растворах, и то в незначительных количествах (тысячные доли процента). Так в УФ - и ИК-спектрах моносахаридов отсутствуют полосы поглощения, характеризующие карбонильную группу. В действительности, моносахариды с 5 и более атомами углерода обычно встречаются в водном растворе в циклических формах, в которых карбонильная группа образует ковалентную связь с атомом кислорода гидроксильных групп. А.А. Колли (русский химик-органик), предложил для всех моносахаридов циклические структуры.
В карбонильной группе связь между атомами углерода и кислорода осуществляется двумя парами электронов. Электронное облако связи смещено к кислороду как более электроотрицательному атому, в результате чего он приобретает частичный отрицательный .заряд (δ-). В то же время карбонильный углерод в результате оттягивания от него электронов приобретает частичный положительный заряд (δ +):
Это обусловливает большую реакционную способность органических соединений, содержащих карбонильную группу: с одной стороны, атом углерода приобретает электрофильные свойства и способен активно взаимодействовать с нуклеофильными реагентами, а атом кислорода приобретает нуклеофильные свойства и способен присоединять электрофильные реагенты и замещаться ими; с другой стороны, на атоме углерода связи С=О концевой карбонильной группы положительный заряд сильнее притягивает электрон от атома водорода альдегидной группы, последний становится более подвижным и легко вступает в какие-либо реакции, например, окисляется (редуцируется) при рН > 7.
Отсюда, появление пятого гидроксила, названного гликозидным, является следствием внутримолекулярной реакции между карбонильной группой и одним из гидроксилов сахара. Известно, что взаимодействие альдегидов (кетонов) со спиртами приводит к образованию полуацеталей (полукеталей):
На связь между устойчивостью цикла и его строением обратил внимание немецкий химик А. Байер. В своей теории он исходил из предположения, что все циклы являются плоскими, а за меру устойчивости цикла принял любое отклонение валентных углов от "нормального" угла 109° 28':
Такое отклонение создает в молекуле напряжение, которое, в свою очередь, понижает ее устойчивость. Расчет дал отклонение валентного угла от нормального для четырехчленного цикла +9°44', пятичленного 0°44', шестичленного -5° 16'.
Также позже было установлено, что пяти- и шестичленные циклы не находятся в одной плоскости, а принимают в пространстве определенную форму (конформацию: см. ниже — «кресло»: она устойчивее), что приводит к уменьшению углового напряжения, поэтому и к повышению устойчивости цикла.
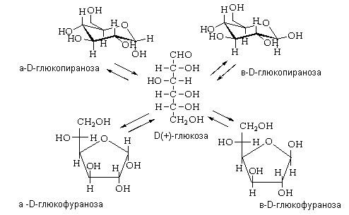
Поэтому при образовании циклических структур сахаров-альдоз гидроксильная группа у предпоследнего (или пред-предпоследнего) реагирует с альдегидной группой, образуя пиранозный (или фуранозный) цикл, содержащий полуацетальную связь:
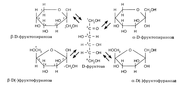
Сахара-кетозы также встречаются в форме α- и β-аномерных форм. В этих соединениях гидроксильная группа у предпоследнего (или последнего) реагирует с кетогруппой, образуя фуранозный (или пиранозный) цикл, содержащий полукетальную связь:
При образовании циклического полуацеталя сахаров появляется новый асимметрический атом углерода (аномерный центр (С-1)). Для указания его конфигурации используют обозначения a и b. α- и β-формы моноз превращаются друг в друга в водном растворе, этот процесс получил название мутаротации.
