Химические методы определения сахаров
2.Контрольное титрование. Вторую колбу с медно-щелочным раствором помещают на нагретую электроплитку, раствор в колбе доводят до кипения и сливают в него из бюретки (85±5)% израсходованного на предварительное титрование объема исследуемого раствора, следя за тем, чтобы кипение в колбе не прекращалось. При этом синяя окраска медно-щелочного раствора изменяется на светло-фиолетовую. Дотитрование медно-щелочного раствора исследуемым раствором проводят со скоростью 1 капля в секунду до появления желтой окраски. Массовую долю сахара в исследуемом изделии (М) в пересчете на сухое вещество вычисляют по формуле:
TV1 ∙100 ∙ 2 100 M= ---------------------- ∙ ------------- mV2 ∙ 1000 100 - W
где Т — титр медно-щелочного раствора по сахарозе; V1 — вместимость мерной колбы, взятой для приготовления водной вытяжки, см3; m — масса навески исследуемого изделия, г; V2 — объем исследуемого раствора, израсходованный на титрование, мл; W— массовая доля влаги в исследуемом материале (ГОСТ 21094); 1000 — перевод мг сахарозы в г; 2 — двойное разведение вытяжки при проведении гидролиза сахарозы.
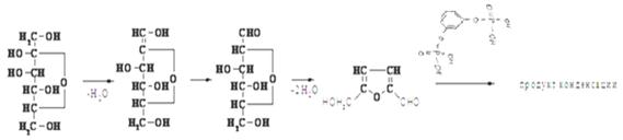
Физико-химические методы определения сахаров
В настоящее время находят широкое применение физико-химические методы определения сахаров. При этом сахара, путем химических реакций, превращают в какое-то вещество, замеряя затем физические характеристики (цвет, адсорбируемость и пр.) Эти методы быстрые, менее трудоемкие, а в некоторых случаях точнее химических.
Количественное определение сахаров в продуктах растительного происхождения с помощью хроматографии на бумаге (по О. А. Павлюшиной)
Количественное определение сахаров с применением хроматографии на бумаге включает в себя следующие основные операции:
фиксацию растительного материала > экстракцию сахаров и очистку вытяжки от белков и других примесей > распределительную хроматографию сахаров на бумаге > элюацию сахаров с бумаги > определение их содержания в элюатах
Реактивы и материалы: а) Хроматографическая бумага Ленинградская «быстрая» № 1; *Filtrak* FN-4; ватман М 1 и 2; б) этанол, 96%-ный и 80%-ный; в) уксуснокислый свинец (СН3СОО)2РЬ ∙ 3Н2О, 10%-ный раствор; г) сернокислый натрий, насыщенный раствор; д) смесь н-бутанола, пиридина и воды в соотношении 6:4:3 (по объему), или смесь н-бутанола, уксусной кислоты и воды в соотношении 4:1:5 (по объему). [Если смеси растворителей разделяются на два слоя, то берут верхний;] е) проявители на кетозы: 1 — резорцинфосфат.
0,2 г резорцина растворяют в 100 мл 96%-ноге этанола. Перед проявлением хроматограммы смешивают 10 объемзв спиртового раствора резорцина с одним объемом ортофосфорной кислоты Н3РО4 (плотность 1,75—1,82);
2— N-хлормочевина.
5 г мочевины растворяют в 100 мл 96%-ного спирта и добавляют 20 мл 2 н раствора соляной кислоты;
ж) проявители на альдозы: 1 — анилинфталат
1,66 г фталевой кислоты и 0,93 г перегнанного анилина растворяют в 100 мл этилового спирта, насыщенного водой;
2 — анилиноксалат:
0,93 г перегнанного анилина растворяют в 50 мл 96%-ного этанола, после чего смешивают с равным объемом 0,2 М раствора щавелевой кислоты в этаноле (можно также брать водный 0,2 М раствор щавелевой кислоты);
и) глюкоза, фруктоза, сахароза и другие сахара, 2%~ные растворы; к) другие реактивы для количественного определения сахаров по антроновому методу.
Ход работы: Навеску свежего растительного материала (10 30 г) заливают (для фиксации) десятикратным объемом кипящего 96%-ного этанола, нагревают 2—3 мин., добавляя небольшое количество углекислого кальция или натрия в порошке для нейтрализации кислот (под контролем лакмуса или универсального индикатора). Зафиксированная навеска (в колбе или склянке с притертой пробкой) может храниться в течение нескольких месяцев (в темном и прохладном месте). Фиксация спиртом является и началом экстракции сахаров, которые частично переходят в раствор. Сахара экстрагируют горячим (70—80 ºС) 80%-ным этанолом 3 раза по 30 мин. Перед началом экстракции рекомендуется дополнительно растереть материал в ступке. Спирт, который служил для фиксации навески, объединяют со спиртовыми вытяжками. После каждой экстракции охлажденную спиртовую вытяжку центрифугируют. Объединенные спиртовые вытяжки сгущают в вакууме до объема 3 мл. Если материал богат хлорофиллом и каротиноидами, то сгущенную вытяжку несколько раз взбалтывают с петролейным эфиром. Эфирный раствор пигментов сливают, а остатки растворителя удаляют на водяной бане при 50—60°. Сгущенную вытяжку количественно переводят в мерную колбу на 5 или 10 мл. Для осаждения белков и других примесей прибавляют по каплям раствор уксуснокислого свинца. Проверив полноту осаждения, раствор в колбе доводят до метки, затем фильтруют или, еще лучше, центрифугируют. Для осаждения избытки свинца, не пошедшего в реакцию, добавляют одну каплю насыщенного раствора сернокислого натрия и снова центрифугируют или фильтруют. Нарезают полосы хроматографической бумаги длиной 50—55 см и шириной 13—19 см или другого размера (в зависимости от диаметра хроматографической камеры). Бумагу разлиновывают графитовым карандашом, оставляя с одной стороны листа одну, а с другой — две контрольные полосы шириной 2— 2,5 см. Низ хроматограммы вырезают зубцами, что способствует равномерному скапыванию растворителя и предотвращает наблюдающийся иногда перекос пятен. Затем на линию старта отдельными пятнами по одному на основной части хроматограммы и на каждой из контрольных полос наносят с помощью микропипетки или капилляра определенный точный объем испытуемого раствора (например, по 0,01; 0,02 или 0,03 мл в пятно). Количество экстракта, наносимого в пятно, должно соответствовать примерно 30—50 мг сырого веса исследуемого материала в том случае, если в нем содержится 5—7 мг глюкозы, фруктозы и сахарозы на 1 г сырого веса ткани. Для установления оптимальной концентрации сахаров, вносимых в пятно, ставят отдельно две контрольные хроматограммы с нанесением различных объемов опытного экстракта (0,01—0,04 мл в пятно). На те же полосы наносят также и метчики — растворы сахаров (по 0,004 мл 2%-ных растворов). После нанесения растворов на бумагу приступают к разделению сахаров в соответствующей смеси растворителей (н-бутанол — пиридин — вода, 6:4:3; н-бутанол — уксусная кислота — вода, 4:1:5). Хроматография нисходящая. Продолжительность разделения 2—3 суток. После разделения хроматограммы высушивают в токе воздуха (в вытяжном шкафу) до полного удаления следов растворителя. Следующей задачей является определение положения пятен на основной части хроматограммы, так как сахара элюируют из непроявленной части бумаги. Для этого от основной хроматограммы отрезают контрольные полосы (а), (б) и (в) и опрыскивают две из них, например (а) и (б), проявителями на кетозы — резорцинфосфатом (реакцией Ф.Ф. Селиванова):
или раствором N-хлормочевины:
