Химические методы определения сахаров
2. Проведение анализа. В мерную колбу вместимостью 100 см3 отбирают цилиндром 25 см3 раствора дихромата калия, 10 см3 прозрачного фильтрата и 15 см3 воды, нагревают в течение 10 мин на кипящей водяной бане, охлаждают, добавляют до метки воду, перемешивают. Полученным раствором заполняют кювету и определяют оптическую плотность также, как и при снятии градуировочного графика. По градуировочному графику находят содержание сахарозы (мг/100см3) раствора, что соответствует содержанию сахарозы во взятой пробе, выраженному в мг.
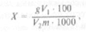
Содержание общего сахара X (%) в анализируемом продукте вычисляют по формуле:
гдеg — содержание общего сахара, найденное по градуировочному графику, мг/100 мл; V, — вместимость мерной колбы, мл; V2 — объем фильтрата, взятый для реакции с дихроматом калия, мл; т — масса навески объекта исследования, г.
Физические методы определения сахаров
Известно не очень много таких методов. Физические методы определения сахаров основаны на измерении явственных физических свойств сахаров специальными приборами, градуированными по корреляции «концентрация раствора — сила физического свойства раствора». Достоинства: простота, быстрота, отсутствие дорогостоящих реактивов и химических превращений. Недостатки: не слишком высокая воспроизводимость результатов.
Рефрактометрический метод
Принцип действия рефрактометра основан на явлении полного внутреннего отражения при прохождении светом границы раздела двух сред с разными показателями преломления. Измерения проводят при дневном свете, или при включенном осветителе в проходящем через прозрачную исследуемую среду свете, или в отраженном свете, когда исследуемая среда существенно поглощает или рассеивает свет. Применяется для внутрипроизводственного контроля содержания сахара, основан на определении коэффициента преломления сахара, извлеченного из навески после удаления несахаров.
Реактивы и материалы.рефрактометр типа ИРФ-454, иммерсионная жидкость: альфа-хлор- или бромнафталин, вода дистиллированная, фильтры, пипетка, центрифуга.
Ход работы.
1. Твердые продукты. Откинуть осветительную призму. Очистить поверхность измерительной призмы и образца. На полированную поверхность образца нанести небольшую каплю иммерсионной жидкости и наложить его на измерительную призму. При наложении образца и умеренном нажиме на него иммерсионная жидкость должна распределяться равномерно по всей поверхности и не выступать за его края. Число интерференционных полос должно быть не более трех. Установка образца является идеальной при одноцветной окраске плоскости соприкосновения образца и призмы.
2.Густые продукты, у которых трудно отделить жидкую фазу, и темноокрашенные продукты следует разбавлять дистиллированной водой не более чем в два раза. При этом измельченную навеску густого продукта массой не менее 40 г разбавить водой, выдержать не менее 15 мин в кипящей водяной бане, затем смесь охладить, взвесить и отфильтровать как указано выше. Темноокрашенные жидкие продукты только перемешать с водой, определяя массу навески и смеси.
3.Жидкие продукты, не содержащие большого количества взвешенных частиц, используют для измерения. Жидкие продукты, содержащие большое количество взвешенных частиц, и пюреобразные продукты следует центрифугировать или фильтровать через несколько слоев марли, или слой ваты, или бумажный фильтр; первые порции фильтрата отбрасывать, а остальную часть необходимо использовать для измерений. Далее на чистую полированную поверхность измерительной призмы стеклянной палочкой или пипеткой осторожно, не касаясь призмы, нанести две-три капли жидкости. Опустить осветительную призму и прижать ее застежкой.
Измерения прозрачных жидкостей проводить в проходящем свете, когда он проходит через открытое окно осветительной призмы, при этом окно измерительной призмы закрыто зеркалом. Измерения окрашенных и мутных проб проводить в отраженном 'свете. Для этого закрыть заслонку и откинуть зеркало, с помощью которого направить свет в измерительную призму, при этом темное и светлое поля меняются местами. В остальном измерения следует проводить так же, как и для прозрачных жидкостей.
После установки исследуемого образца на измерительной призме навести окуляр на отчетливую видимость перекрестия. Вращением нижнего маховика границу светотени ввести в поле зрения окуляра. Вращать верхний маховик до исчезновения окраски граничной линии. Наблюдая в окуляр, нижним маховиком навести границу светотени точно на перекрестие и по шкале показателей преломления снять отсчет по неподвижному вертикальному штриху призмы. Измерения необходимо проводить при температуре 10-40°С, используя шкалу, градуированную в единицах массовой доли сахарозы. Во время измерений температуру следует поддерживать постоянной в пределах 0,5 ºС. При необходимости следует включить систему термосташрования призм рефрактометра и регулировать подачу воды так, чтобы выполнялись указанные выше условия. Температуру измеряемого раствора довести до значения, отличающегося от температуры призм не более чем на ±2°С. Необходимо проводить два параллельных измерения, принимая их среднее арифметическое значение.
Если продукт разбавлен водой, то массовую долю растворимых сухих веществ в продукте X следует вычислять по формуле:
где а - значение массовой доли растворимых сухих веществ, полученное для разбавленного водой продукта, %; mi - масса добавленной воды, г; Е - массовая доля не растворимых в воде сухих веществ в продукте, %. Е ~ 5,5% - для томатной пасты с массовой долей растворимых сухих веществ 25-30%; Е = 5,0% - для сушеного винограда; Е = 1,8% - для джемов и повидла; Е = 0 - для темноокрашенных прозрачных жидких продуктов; m - масса навески продукта, г.
Если температура измерений отличается от 20 ºС, использовать поправку по справочной литературе.
Сахарометрический метод
Для определения концентрации экстрактивных веществ применяют ареометры сахарометры со шкалой 0-8, 8-16, 16-24% сухих веществ. Эти приборы представляют собой плавающий стеклянный цилиндрический сосуд, запаянный с обоих концов. Нижняя часть прибора заполнена свинцовой дробью, чтобы ареометр плавал строго вертикально. Верхняя часть ареометра - сахарометра представляет собой шкалу с делениями, градуированными по растворам чистой сахарозы при температуре 20 град С. Цена деления 0,1 % мас. В чистых растворах сахарозы сахарометры показывают процент растворенного сахара по массе ( г в 100г). В не чистых растворах (например в пивном сусле) они показывают видимое содержание сухих веществ в % мас. При отклонении температуры анализируемого раствора от 20 град С в показания сахарометра вносят поправку.
Оборудование и материалы: испытуемое сусло, асбестовая сетка, стеклянный цилиндр с поддоном, сахарометр.
