Влияние личности учителя на творческие способности детейРефераты >> Педагогика >> Влияние личности учителя на творческие способности детей
Однажды утром Цветок открыл свои лепестки и не узнал самого себя. Он стал огромным, его лепестки были цвета червонного золота, из середины цветка множество золотых тычинок, закрученных спиралями, покачивались под дуновениями легкого ветерка . «Это я?» - удивился цветок. Он попробовал вытянуть тычинку спираль она стала длинной-длинной, вытянулась как луч света и коснулась дерева . Мгновенно Цветок стал понимать, о чем думало дерево . И они полюбили друг друга . другой тычинкой спиралью дотронулся Цветок до сердца Человека и затрепетал от тех тайн, что хранило сердце встреченного им. А Человек увидел цветок и удивился его красоте и необычной форме: «Золотой Цветок! Наверное, волшебный .» Он постоял около Цветка, и стало ему хорошо и спокойно, ясно на душе. Человек не мог забыть Золотой Цветок и нарисовал дома его образ. Гости удивлялись красоте рисунка и говорили, что Цветок на нем как живой.
Цветок коснулся пробегавшей мимо дворняги: она завиляла хвостом, не понимая, что происходит, ожидая чего-то очень приятного для себя .
Цветок стал радостным и легким, он ощущал себя свободным и крылатым, как Альбатрос, легко узнавал обо всем на свете.
Цветок стал понимать язык птиц и стал понимать Альбатроса, видеть его суть-свет. Золотой Цветок увидел, что Альбатрос дарит золотистый свет всем, в ком есть золотые зерна.
Золотой Цветок сочинял стихи впервые в жизни .
Альбатрос узнал, что он умеет дарить свет, открывать невидимые двери и преображать окружающих. Теперь любимым его занятием стало помогать цветам расти из золотых зерен.
Цветов становилось на Земле все больше, и она начала светиться . Благоухание и сияние цветов изменило Альбатроса, он стал веселее, стал петь песни и сочинять стихи.
Золотой Цветок и Альбатрос подружились. Вместе они могли узнать обо всем на свете, любили птиц и растения, людей и звезды.
Когда они встречались, казалось, звучит невидимая волшебная Лира. С первыми чарующими, мягкими, бархатными звуками Лиры безмятежность, необыкновенный покой охватывали все вокруг. В эти мгновения тишины и покоя люди легко находили выход из трудных, казалось бы, безвыходных ситуаций. Потом из бархатных звуков Лиры рождались образы и слова, утешающие, успокаивающие и поддерживающие других людей, помогающие найти каждому свой путь. Звуки были так необычны, что казалось, будто качается дом, стулья и столы, пол и потолок в доме, как при землетрясении.
Альбатрос и Золотой Цветок научились заглядывать глубоко- глубоко в прошлое и в будущее.
Золотой Цветок, как волшебная музыка, преобразил Принцессу. Она шла по земле, а под ногами у нее распускались цветы:
ромашки, клевер, лютики . А Альбатрос изменил Человека. Он увидел свой путь, свою судьбу: прекрасная солнечная поляна, покрытая цветами, потом бескрайняя степь, а затем широкая спокойная река, высокие снежные горы, а за ними . звезды , а за ними . звезды . звезды . Звезды!!! Он стал писателем. Его тексты дышали, как живые существа.
Приложение №4
Корреляционный анализ.
I. Первичные оценки по шкале оценки потребности в достижениях.
1) Статистические ряды - n*
2) Совпадение с ключом - Х
а) Вариационный ряд учителя №1
n* 1, 2, 3, 4, 5, 6, 7, 8, 9, 10, 11, 12, 13, 14, 15, 16, 17, 18, 19, 20, 21, 22
Х 1 1 1 1 1 1 1 1 1 1 1 1 1
б) Вариационный ряд учителя №2
n* 1, 2, 3, 4, 5, 6, 7, 8, 9, 10, 11, 12, 13, 14, 15, 16, 17, 18, 19, 20, 21, 22
X 1 1 1 1 1 1 1 1 1 1 1 1 1 1 1
в) Вариационный ряд учителя №З
n* 1, 2, 3, 4, 5, 6, 7, 8, 9, 10, 11, 12, 13, 14, 15, 16, 17, 18, 19, 20, 21, 22
X 1 1 1 1 1 1 1 1 1 1 1
г) Вариационный ряд учителя №4
n* 1, 2, 3, 4, 5, 6, 7, 8, 9, 10, 11, 12, 13, 14, 15, 16, 17, 18, 19, 20, 21, 22
X 1 1 1 1 1 1 1 1 1 1
2.Первичные оценки по Т. Элерсу.
1) Статистические ряды - п *
2) Тестовый показатель - Y
а) Вариационный ряд учителя №1
n* 1, 2, 3, 4, 5, 6, 7, 8, 9, 10, 11, 12, 13, 14, 15, 16, 17, 18, 19, 20, 21, 22
Y 1 1 1 1 1
n* 23, 24, 25, 26, 27, 28, 29, 30, 31, 32, 33, 34, 35, 36, 37, 38, 39, 40, 41
Y 1 1 1 1 1 1 1 1 1 1 1
б) Вариационный ряд учителя №2
n* 1, 2, 3, 4, 5, 6, 7, 8, 9, 10, 11, 12, 13, 14, 15, 16, 17, 18, 19, 20, 21, 22
Y 1 1 1 1 1 1 1 1
n* 23, 24, 25, 26, 27, 28, 29, 30, 31, 32, 33, 34. 35, 36, 37, 38, 39, 40, 41
Y 1 1 1 1 1 1 1 1 1 1 1 1 1
в) Вариационный ряд учителя №3
n* 1, 2, 3, 4, 5, 6, 7, 8, 9, 10, 11, 12, 13, 14, 15, 16, 17, 18, 19, 20, 21, 22
Y 1 1 1 1 1
n* 23, 24, 25, 26, 27, 28, 29, 30, 31, 32, 33, 34, 35, 36, 37, 38, 39, 40, 41
Y 1 1 1 1 1 1 1 1
г) Вариационный ряд учителя №4
n* 1, 2, 3, 4, 5, 6, 7, 8, 9,10, 11, 12, 13, 14, 15, 16, 17, 18, 19, 20, 21, 22
Y 1 1 1
n* 23, 24, 25, 26, 27, 28, 29, 30, 31, 32, 33, 34,35,36,37,38,39, 40, 41
Y 1 1 1 1 1 1
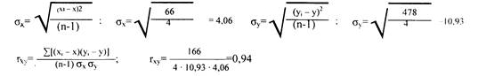
Одним из основных принципов определения количественных критериев корреляционной связи коэффициентов корреляции — является сравнение величин отклонений от среднего значения по каждой группе в сопряженных парах сравниваемых рядов переменных. С целью достижения независимости меря корреляционной связи от числа сравниваемых пар и величин стандартных отклонений в сопоставимых рядах. мера носит название коэффициента корреляции — произведение моментов Пирсона (г) (см. ниже), где X1 и У1 - сравниваемые количественные признаки, n — число сравниваемых наблюдений,
а
и - стандартные отклонения в сопоставимых рядах. Определение статистической зависимости коэффициента rxy проводится с помощью критерия Стьюдента (t)(формулы приведены ниже).
Коэффициент детерминации г²xy, выражающий степень вариации переменных, равен г²xy =0.98. что свидетельствует о том, что 98% измерений признаков объясняются их совместным распределением (взаимовлиянием).
Определение статической зависимости коэффициента гxy , с помощью критерия Стьюдента (t):
Вывод: по нашей шкале различия значимы на уровне р ≤ 0,01. Нулевая гипотеза отвергается и принимается гипотеза о различии.
Коэффициент детерминации г²xy выражающий степень вариации переменных, равен г²xy = 0.88, что свидетельствует о том, что 88% измерений признаков объясняются их совместным распределением (взаимовлиянием).
Определение статической зависимости коэффициента гxy с помощью критерия Стьюдента (t):
