Аксиоматика векторного пространстваРефераты >> Математика >> Аксиоматика векторного пространства
Так как точка О лежит на прямой MN, то
. Откуда
. Значит,
.
Ответ: KO : OL = 2:3
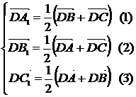
Задача. Отрезки DA1, DB1, DC1 – медианы граней BCD, ACD и ABD тетраэдра ABCD соответственно. Точки К, М, N делят отрезки DA1, DB1, DC1 в отношении
,
. В каком отношении плоскость KMN делит ребра DA и DB ?
Решение.
Пусть плоскость KMN пересекает ребра DA, DB и DC тетраэдра ABCD в точках Р, Q, R соответственно.
Точки А1, В1, С1 – середины отрезков ВС, АС, АВ соответственно. Следовательно,
Решив эту систему, (например, сложив (1) и (2), и вычтя (3) получим
Пусть
. Тогда, учитывая
,
,
,
имеем
, и, т.к. точки К, М, N, Р лежат в одной плоскости, то
.
Таким образом,
, откуда
.
Пусть теперь
, тогда
, и
, откуда
Ответ:
,
.
Задача. Основанием пирамиды SABC является равносторонний треугольник ABC, длина стороны которого равна
. Боковое ребро SC перпендикулярно плоскости оснований и имеет длину 2. Найти угол между прямыми, одна из которых проходит через точку S и середину ребра ВС, а друга проходит через точку С и середину ребра АВ.
Решение. Обозначим
.
Выберем в качестве базиса векторы
,
и
.
Тогда, из треугольника BCS:
,
а из треугольника ABC:
Ответ:
.
Задача. Каждое ребро призмы ABCA1B1С1 равно 2.
Точки М и N – середины ребер АВ и A1А. Найти расстояние от точки М до прямой CN, если известно, что угол A1AС paвeн 60° и прямые A1A и АВ перпендикулярны.
Решение.
Рассмотрим базис, состоящий из векторов
,
,
и составим таблицу умножения для этих векторов.
| * | а | b | с |
| а | 4 | 0 | 2 |
| b | 0 | 4 | 2 |
| с | 2 | 2 | 4 |
Расстояние от точки М до прямой CN равно расстоянию от точки М до её проекции на прямую CN.
Пусть Р – проекция точки М на прямую CN.
Тогда
для некоторого числа х.
Так как
и
,
Поскольку прямые
и
перпендикулярны, то
т.е.
.
Раскрывая скобки и пользуясь таблицей умножения для нашего базиса, получаем:
.
Тогда
.
Искомое расстояние
равно
Снова раскрывая скобки и пользуясь таблицей умножения, находим
. Таким образом, расстояние от точки М до прямой
равно
.
Ответ : расстояние равно
.
у 6
Задача. В параллелограмма ABCD точка К – середина стороны ВС, а точка М – середина стороны CD. Найдите AD, если АК = 6, АМ = 3, угол КАМ = 60°.
Решение.
В качестве базиса выберем векторы
и
и составим таблицу умножения для векторов этого базиса.
| * | k | m |
| k | 36 | 9 |
| m | 9 | 9 |
