Методы построения эмпирических зависимостей при обработке экспериментальных данныхРефераты >> Статистика >> Методы построения эмпирических зависимостей при обработке экспериментальных данных
Построим линейную регрессионную модель.
4.1.1. Парная регрессия
Для регрессии вида [2]
найдем коэффициенты по формулам
Вычислим
Тогда
Откуда
Тогда линейная регрессия будет иметь вид
Смысл коэффициента beta [3] заключается в том, что при изменении значения X на 1 единицу Y меняется на 0,35 единиц
Нарисуем точки и регрессию:
Рис 15. График регрессии
4.1.2. Дисперсионный анализ
Среднее Y
Остаточная вариация (RSS)
Общая вариация (TSS)
Объясняемая вариация (ESS)
Правило сложения дисперсий выполняется [7]
Подсчитаем оценку дисперсии ошибки, т.е.
Среднее X
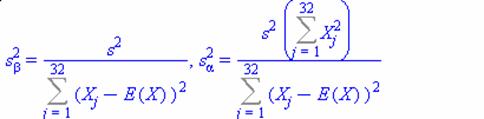
Найдем оценки дисперсий коэффициентов регрессии [11]
по формулам
Получим
4.1.3. Эластичность
Подсчитаем функцию эластичности по формуле
В нашем случае
или
Значение эластичности в средней точке
Показывает, что при изменении X на 1% Y меняется на 0,85 процентов [10].
4.1.4. Доверительные интервалы для оцененных параметров
уровень доверия
Количество степеней свободы 30
Критическое значение статистики Стьюдента ![]()
