Методы построения эмпирических зависимостей при обработке экспериментальных данныхРефераты >> Статистика >> Методы построения эмпирических зависимостей при обработке экспериментальных данных
Поэтому мультиколлинеарности нет. Частные коэффициенты корреляции между регрессорами малы, что говорит об отсутствии мультиколлинеарности.
2.2.7. Колеблемость признака
Найдем остатки регрессии (т.е. очищаем признак от тренда)
![]()
![]()
![]()
![]()
![]()
![]()
![]()
![]()
![]()
Нарисуем график остатков
Рис 7. Остатки
Среднее линейное отклонение уровней ряда от тренда описывается показателем
т.е. среднее абсолютное отклонение от тренда равно
Амплитуда колебаний есть разность максимального и минимального отклонения и показывает максимальный разброс отклонений.
![]()
Индексы сезонности находятся по формулам
![]()
![]()
![]()
![]()
![]()
![]()
![]()
![]()
![]()
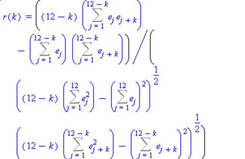
Степень тесноты связи между последовательностями наблюдаемого временного ряда, сдвинутого относительно друг друга на t единиц может быть определена с помощью коэффициента автокорреляции
Показатель t служит порядком коэффициента автокорреляции. Для разных t получаем r(t) - автокорреляционную функцию
![]()
![]()
![]()
![]()
а ее график - коррелограмма. Видим существенный коэффициент 3-го порядка. Статистика Дарбина-Уотсона

Попали в зону отрицательной автокорреляции
2.2.8. Доверительные интервалы для параметров регрессии
Дисперсия ошибок определяется по формуле

Дисперсия
![]()
![]()
Количество степеней свободы 9
Критическое значение статистики Стьюдента ![]()
Уровень доверия 95%
Доверительный интервал для
равен
Не можем на данном уровне значимости принять гипотезу
т.к. не попадает в доверительный интервал.
Доверительный интервал для
равен
Не можем на данном уровне значимости принять гипотезу
т.к. не попадает в доверительный интервал.
Доверительный интервал для
равен
Не можем на данном уровне значимости принять гипотезу
т.к. не попадает в доверительный интервал.
Построенная регрессия оказалась значимой, все коэффициенты значимы. Единственный ее недостаток – в наличии автокорреляции остатков. Не удалось нам устранить эту проблему введением показателя «сельское хозяйство». Добавим сезонные dummy. Вычисления приведем в Excel.
