Методы построения эмпирических зависимостей при обработке экспериментальных данныхРефераты >> Статистика >> Методы построения эмпирических зависимостей при обработке экспериментальных данных
найдем коэффициенты
Найдем обратную матрицу
Дополнительные миноры
Их определители
Союзная матрица
Союзная транспонированная матрица
Делим каждый элемент на определитель, получаем
Уравнение регрессии имеет вид
нарисуем график
Рис 6. График регрессии
Среднее факторов
![]()
![]()
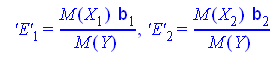
2.2.1. Коэффициенты эластичности
равны
![]()
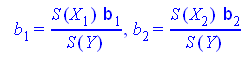
2.2.2. Стандартизованные коэффициенты
![]()
![]()
![]()
Тогда
2.2.3. Парные коэффициенты корреляции



Частные коэффициенты корреляции



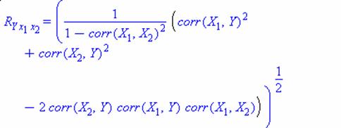
2.2.4. Множественный коэффициент корреляции
или
Ошибка множественного коэффициента корреляции
![]()
2.2.5. Коэффициент детерминации
Скорректированный

Проведем F-тест Фишера на значимость регрессии.

![]()
![]()
Регрессия значима.
2.2.6. Мультиколлинеарность
1. Определитель матрицы
отличено от нуля
2. Парный коэффициент корреляции
далек от 1
