Общая и неорганическая химия
Так, для рассмотренного выше водородно-кислородного элемента, работающего за счет энергии, освобождающейся при реакции Н2г + 1/2О2г = Н2Ож, для которой ДG 0
298 = -237200 Дж, п = 2, рH2 = рO2 = 1.
E = -ДG 0
298
/n·96493 = -(-237200/2)·96493 −∼ 1,2 В.
Из уравнения IX.1 следует, что измерение э. д. с. гальванического элемента позволяет найти изменение энергии Гиббса протекающей в нем реакции. Поэтому метод э. д. с. широко используется для определения термодинамических свойств веществ.
В приведенном выше примере этот метод позволяет найти ДG реакции восстановления МоО3 железом. Зная стандартное изменение энергии Гиббса при образовании FеО(ДG 0 f FeO) по найденному значению ДG, можно найти энергию Гиббса образования МоО3 из уравнения:
ДG = 3ДG 0
f
FeO - ДG 0
f
МоО3
Зависимость э. д. с. от температуры. Поскольку энергия Гиббса есть функция температуры, то и э. д. с. гальванического элемента также должна зависеть от температуры.
Для нахождения этой зависимости воспользуемся уравнением Гиббса-Гельмгольца: ДG = ДH + T(∂ДG/∂T)p подставив в него выражение ДG через э. д. с. При этом получим -nEF = ДH - TnF(dE/dT) или
-ДH = nF[E - Т (dE/dT)], (IX.2)
или
-ДH = W - TnF(dE/dT). (IX.3)
Сначала представим себе, что гальванический элемент, помещенный в калориметр, является коротко замкнутым. В этом случае производимая им электрическая энергия полностью превратится в тепло, количество которого равно энтальпии реакции ДH, и, следовательно, работа будет равна нулю.
Пусть теперь реакция в элементе осуществляется обратимо, например, провода от электродов выведены из калориметра, подведены к мотору, и электрический ток производит работу. Тогда часть освобождающейся при реакции энергии превратиться в электрическую работу W, а другая часть Q останется в виде тепла и будет измерена в калориметре. Согласно первому закону термодинамики
-ДH = W - Q (IX.4)
Сопоставление уравнений (IX.3) и (IX.4) показывает, что
Q = TnF(dE/dT). (IX.5)
Очевидно, чем ближе протекание реакций в гальваническом элементе к условиям обратимости, тем бо́льшая часть ДG превращается в работу. Величина Q, которая характеризует связанную энергию, определяет количество тепла, неизбежно выделяющегося (или поглощающегося) в том случае, когда элемент работает обратимо. Так как (∂ДG/∂T)р = -ДS и (∂ДG/∂Т)р = -пF(dЕ/dТ), то
ДS = nF(dE/dT), (IX.6)
и, следовательно, измерения температурной зависимости э. д. с. позволяют вычислить изменение энтропии при реакции, протекающей в гальваническом элементе. Следует подчеркнуть, что гальванический элемент может работать как с выделением, так и с поглощением тепла. В последнем случае он превращает в работу тепло окружающей среды. Это не находится в противоречии со вторым законом термодинамики, так как процессы в гальванических элементах не являются непрерывными и прекращаются при израсходовании материала электродов.
Знак и величина Q определяют температурную зависимость э. д. с. Если при работе элемента выделяется тепло, т.е. Q < 0, то температурный коэффициент э. д. с. dE/dT < 0. Это наиболее часто встречающийся случай, так как большинство элементов работает с выделением тепла. Наоборот, при Q > 0 э. д. с. растет с температурой.
Для гальванических элементов, служащих в качестве эталонов, при электрических измерениях подбирают такие реакции, в которых Q весьма мало и dЕ/dТ близко к нулю. Так, зависимость э. д. с. от температуры широко используемого стандартного элемента Вестона выражается уравнением:
E = 1,0183 - 0,0000406 (t - 20) В.
Он составлен по схеме: Cd ∣ CdSO4 ∣ ∣ Hg2SO4 ∣ Hg, и в нем протекает реакция Cdт + 2Hg+ = Cd2+ + 2Hgж1.
В качестве примера применения уравнений (IX.4) и (IX.5) вычислим величину dE/dT для элемента, в котором протекает реакция Znт + 2AgCl = ZnCl2 + 2Agт
-ДH = 217760 Дж, а E = 1,015 В при 0° C. Отсюда
-Q = -ДH = 217760 - 2·96493·1,015 = 21880 Дж.
dE/dT = -218807(273·2·96493) −∼ - 4·10-4 В/К.
Примером элемента с положительным температурным коэффициентом является ячейка Hg ∣ Hg2Cl2, KCl ∣ KOH ∣ Hg2O ∣ Hg, в которой протекает реакция Hg2Cl2 + 2KOH = 2KCl + Hg2O + H2O.
Левый электрод этого элемента называемый каломельным, часто используется в электрохимических измерениях. Он состоит из жидкой ртути, находящейся в контакте с твердой каломелью Hg2Cl2 и водным раствором какого-либо сильного электролита, например KС1. Реакция, идущая в рассматриваемом элементе, является эндотермической, ДH = 13720 Дж, а W = 31570 Дж. Таким образом Q = 13720 + 31570 = 45240 Дж, т.е. элемент поглощает из окружающей среды тепло, равное 45240 Дж. Часть этого тепла, равная 31570 Дж, идет на производство работы.
Зависимость э. д. с. от концентраций электролитов, участвующих в реакции, может быть: найдена при помощи уравнения изотермы химической реакции.
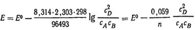
Пусть в гальваническом элементе протекает реакция A + B = 2D, при этом ДG = RTlnK + RTln (c 2 D/cAcB). Подставляя вместо ДG величину - nEF и разделив обе части уравнения на -пF, получим E = RTln(K/nF) - [RT/nFln (c 2D/cAcB)]. или, обозначая величину RTlnK/nF, зависящую только от температуры, через E0, будем иметь:
E = E0 - (RT/nF[ln(c 2 D/ cAcB)]. (IX.7.)
Величина E0 называется стандартной э. д. с. элемента. Она характеризует элемент, в котором концентрации всех участвующих в реакции веществ равны единице, а изменение энергии Гиббса равно стандартному ДG0. Заменив в уравнении (IX.7) натуральный логарифм десятичным, получим для температуры 25 °C.
Очевидно, что для электролитов нельзя просто пользоваться аналитическими концентрациями соответствующих веществ, а необходимо учитывать диссоциацию и взаимодействие ионов. В связи с этим возникает задача определения активности электролитов.
33 Электродный потенциал. Влияние температуры и концентрации на величину электродного потенциала. Уравнение Нернста
Электродный потенциал. Уравнение Нернста
ЭДС гальванического элемента E удобно представлять в виде разности некоторых величин, характеризующих каждый из электродов – электродных потенциалов; однако для точного определения этих величин необходима точка отсчета – точно известный электродный потенциал какого-либо электрода. Электродным потенциалом электрода еэ называется ЭДС элемента, составленного из данного электрода и стандартного водородного электрода (см. ниже), электродный потенциал которого принят равным нулю. При этом знак электродного потенциала считают положительным, если в таком гальваническом элементе испытуемый электрод является катодом, и отрицательным, если испытуемый электрод является анодом. Необходимо отметить, что иногда электродный потенциал определяют как "разность потенциалов на границе электрод – раствор", т.е. считают его тождественным потенциалу ДЭС, что не вполне правильно (хотя эти величины взаимосвязаны).
