Учебник по информатикеРефераты >> Программирование и компьютеры >> Учебник по информатике
В вентиле НЕ транзисторы соединены таким образом, что реализуется операция инвертирования: принимая сигнал низкого уровня, вентиль вырабатывает сигнал высокого уровня и наоборот. На приведенном ниже рисунке схематически изображены выходные состояния вентиля ИЛИ при различных значениях сигналов, подающихся ему на вход.
Рис. 4.1. Состояния вентиля ИЛИ
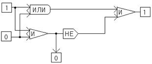
Все остальные логические схемы компьютера, предназначенные для выполнения различных операций (в том числе арифметических) над информацией, могут быть построены путем соединения в различные комбинации вентилей трех типов: И, ИЛИ, НЕ. Ниже показана схема полусумматора, который складывает два одноразрядных двоичных числа и выдает один разряд их суммы и одноразрядный перенос.
Рис. 4.2. Схема полусумматора
Имеются также полные сумматоры, учитывающие разряд переноса от предыдущего сложения. Совокупность (каскад) таких сумматоров позволяет вычислять сумму многоразрядных двоичных чисел. Остальные арифметические операции можно выразить через сложение.
Такие схемы называют электронными. В первых электронных схемах каждый компонент изготавливался отдельно, а затем они соединялись посредством пайки. Совершенствование технологии изготовления транзисторов позволило уменьшить их до микроскопических размеров, соответственно уменьшились и размеры электронных схем. Это привело к созданию интегральных микросхем (ИС).
ИС — это кремниевая пластинка, в которой сформировано многослойное хитросплетение сотен схем, настолько крошечных, что их невозможно различить невооруженным глазом. Например, в микропроцессоре Pentium используются элементы размером 0,00035 мм. Соответственно количеству компонент, размещенных на одной микросхеме, различают большие интегральные схемы (БИС) и сверхбольшие интегральные схемы (СБИС).
Наиболее сложные современные ИС имеют размер несколько см и содержат до нескольких миллионов компонент. Благодаря этому вычислительные машины стали более дешевыми, универсальными, малогабаритными, надежными и более быстродействующими, т. к. теперь электрическим импульсам приходится преодолевать меньшие расстояния.
Тема 5. Функциональное назначение устройств персонального компьютера и их характеристики
5.1. Магистрально-модульный принцип построения компьютера
Компьютер (ЭВМ) — это универсальное (многофункциональное) электронное программно-управляемое устройство для хранения, обработки и передачи информации.
Архитектура ЭВМ — это общее описание структуры и функций компьютера на уровне, достаточном для понимания принципов работы и системы команд ЭВМ. Архитектура не включает в себя описание деталей технического и физического устройства компьютера.
Основные компоненты архитектуры ЭВМ — процессор, внутренняя (основная) память, внешняя память, устройства ввода, устройства вывода.
Самым массовым типом ЭВМ в наше время является персональный компьютер (ПК). ПК — это малогабаритная ЭВМ, предназначенная для индивидуальной работы пользователя, оснащенная удобным для пользователя (дружественным) программным обеспечением.
Практически все модели современных ПК имеют магистральный тип архитектуры (в том числе самые распространенные в мире IBM PC и Apple Macintosh) Ниже представлена схема устройства компьютеров, построенных по магистральному принципу.
Рис. 5.1. Архитектура ЭВМ
Назначение процессора:
1) управлять работой ПК по заданной программе;
2) выполнять операции обработки информации.
Память компьютера делится на внутреннюю и внешнюю. Внутренняя память ПК включает в себя оперативное запоминающее устройство (ОЗУ) и постоянное запоминающее устройство (ПЗУ).
ОЗУ — быстрая, полупроводниковая, энергозависимая память. В ОЗУ хранятся исполняемая в данный момент программа и данные, с которыми она непосредственно работает. ОЗУ — это память, используемая как для чтения, так и для записи информации. При отключении электропитания информация в ОЗУ исчезает (энергозависимость).
ПЗУ — быстрая, энергонезависимая память. ПЗУ — это память, предназначенная только для чтения. Информация заносится в нее один раз (обычно в заводских условиях) и сохраняется постоянно (при включенном и выключенном компьютере). В ПЗУ хранится информация, присутствие которой постоянно необходимо в компьютере. Обычно это компоненты операционной системы (программы контроля оборудования, программа первоначальной загрузки ЭВМ и пр.).
Информационная связь между устройствами компьютера осуществляется через информационную магистраль (другое название — общая шина). Магистраль — это кабель, состоящий из множества проводов. По одной группе проводов (шина данных) передается обрабатываемая информация, по другой (шина адреса) — адреса памяти или внешних устройств, к которым обращается процессор. Есть еще третья часть магистрали — шина управления, по ней передаются управляющие сигналы (например, сигнал готовности устройства к работе, сигнал к началу работы устройства и др.). Количество одновременно передаваемых по шине бит называется разрядностью шины. Всякая информация, передаваемая от процессора к другим устройствам по шине данных, сопровождается адресом, передаваемым по адресной шине (как письмо сопровождается адресом на конверте). Это может быть адрес ячейки в оперативной памяти или адрес (номер) периферийного устройства.
В современном ПК реализован принцип открытой архитектуры. Этот принцип позволяет менять состав устройств (модулей) ПК. К информационной магистрали могут подключаться дополнительные периферийные устройства, одни модели устройств могут заменяться на другие. Возможно увеличение внутренней памяти, замена микропроцессора на более совершенный. Аппаратное подключение периферийного устройства к магистрали осуществляется через специальный блок — контроллер (другое название — адаптер). Программное управление работой устройства производится через программу — драйвер, которая является компонентой операционной системы. Следовательно, для подключения нового периферийного устройства к компьютеру необходимо использовать соответствующий контроллер и установить в ОС подходящий драйвер. Драйверы устройств — это специальные программы, которые дополняют систему ввода-вывода DOS и обеспечивают обслуживание новых или нестандартное использование имеющихся устройств. Драйверы загружаются в память компьютера при загрузке операционной системы, их имена указываются в специальном файле (config.sys). Такая схема облегчает добавление новых устройств и позволяет делать это, не затрагивая системные файлы DOS.
5.2. Основные компоненты компьютера и их характеристики
На рисунке 5.1 приведены основные компоненты, без которых не возможна работа компьютера. Далее назначение и характеристики каждого устройства будут рассмотрены подробно.
5.2.1. Процессор
Процессор — центральное устройство компьютера. Микропроцессор (МП) — это сверхбольшая интегральная схема, которая реализует функции процессора ПК. Микропроцессор создается на полупроводниковом кристалле (или нескольких кристаллах) путем применения сложной микроэлектронной технологии.
