Лекции по гидравлике
ОХ будут одинаковыми по величине, но противоположными по направлению
Аналогично можно записать и для проекций сил давления на ось OY (давление на проекции поверхностей в координатной плоскости YOZ),
. Неуравновешенными будут
лишь вертикальные составляющие силы давления, действующие на верхнюю и нижнюю стороны поверхности тела.
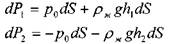
Вертикальными сечениями выделим на верхней и нижней половинах тела малые площадки. Тогда вертикальные составляющие на верхнюю и нижнюю площадки будут равны:
После интегрирования по объёму тела найдём равнодействующую сил давления. Она окажется равной разности весов двух тел давления, ограниченных свободной поверхностью жидкости и верхней и нижней поверхностями тела.
Равнодействующая сил давления носит название выталкивающей силы, эта сила направлена вертикально вверх и численно равна весу жидкости в объёме вытесненной телом. Последнее положение получило название закона Архимеда. Закон Архимеда часто формулируют несколько иначе: «тело, погружнное в жидкость теряет в своём весе столько сколько весит вытесненная им жидкость».
Таким образом, На погружённое в жидкость тело действуют две силы:
вес тела
и выталкивающая сила
Если
Тело будет тонуть.
Если
Тело будет всплывать до тех пор пока вес тела и величина
выталкивающей силы, действующей на погруженную часть объёма тела не уравновесятся.
Если
Тело будет находиться во взвешенном состоянии в жидкости,
т.е. плавать внутри жидкости на любой заданной глубине.
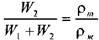
Для тела плавающего на поверхности жидкости должно, таким образом выполняться условие:
Другими словами, степень погружения плавающего на поверхности тела под уровень жидкости заваисит от со
отношения плотности тела
и жидкости:
Если тело однородное, то точка приложения силы тяжести тела и точка приложения выталкивающей силы совпадают. В тех случаях, когда плавающее на поверхности жидкости тело не однородно по своему составу (корабль с грузом) в условиях равновесия точки приложения действующих на тело сил располагаются в разных местах на прямой вертикальной линии. В таких случаях на плавающее в жидкости тело действует пара сил, от
действия которой зависит положение тела относительно жидкости Такие плавающие тела могут находиться в остойчивом и не остойчивом состоянии Так тело 1 под действием пары сил находится в состоянии равновесия На тело 2 действует пара сил, стремящаяся уменьшить угол крена (угол между осью плавания тела и плоскостью сво
бодной поверхности жидкости) Такое положение плавающего тела называется остойчивым На тело 3 действует пара сил, стремящаяся увеличить угол крена (перевернуть тело), такое положение тела называется не остойчивым положением
; t* 3. Элементы кинематики жидкости
Кинематикой называют раздел механики, изучающий движение физических тел вообще, вне связи с источником движения (силами). Это определение справедливо и для кинематики жидкости как отдельного раздела гидравлики. 3.1. Методы изучения движения жидкости.
Жидкость представляет собой физическое тело, состоящее из бесконечно большого числа бесконечно малых частиц. С большой степенью точности мы можем рассматривать жидкое тело как сплошную среду, эта модель позволяет значительно упростить решение большинства гидравлических задач. Тем не менее, нередки случаи, когда уровень исследования движения жидкого тела требует глубокого знания физических процессов происходящих в движущейся жидкости на молекулярном уровне. В таких случаях вполне удобная модель сплошной среды может оказаться неприемлемой.
Исходя из практики изучения гидравлики как прикладной дисциплины, можно упомянуть два метода изучения движения жидкости: метод Лагранжа и метод Эйлера.
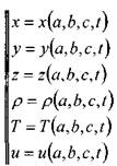
Описание движения жидкости методом Лагранжа сводится к рассмотрению положения частиц жидкости (в полном смысле слова) в любой момент времени. Так в начальный момент времени частицы находились в точках 1, 2, 3 и 4. По истечении некоторого времени они переместились в точки: Г, 2',3'и4', причём это перемещение сопровождалось изменением объёмов и форм частиц (упругой деформацией). Тогда можно утверждать, что частицы жидкости при
своём движении участвуют в трёх видах движения (поступательном, вращательном и деформации). Для описания такого сложного движения жидкости необходимо, таким образом, определить как траектории частиц, так и гидравлические характеристики частиц (плотность р, температуру Т и скорость и) в функции времени и координат.
Переменные а, Ь, с, и / носят название переменных Лагранжа. Задача сводится к решению систем дифференциальных уравнений в частных производных для каждой части-
цы жидкости. Метод Лагранжа ввиду громоздкости и трудности решения может использоваться в случаях детального изучения поведения лишь отдельных частиц жидкости. Использование этого метода для инженерных расчётов не рентабельно.
Суть другого метода, метода Эйлера заключается в том, что движение жидкости подменяется изменением поля скоростей. Под полем скоростей понимают некоторую достаточно большую совокупность точек бесконечного пространства занятого движущейся жидкостью, когда в каждой точке пространства в каждый момент времени находится частица жидкости с определённой скоростью (вектором скорости). Припишем неподвижным точкам пространства скорость частиц жидкости, которые в данный момент времени находятся в этих точках. Поскольку пространство бесконечно и непрерывно, то мы имеем массив данных о скоростях достаточно полный, чтобы определить (задать) поле в каждой его точке. Условно, нос достаточной точностью такое поле можно считать непрерывным.
Несмотря на то, что исходные условия создания модели движущийся жидкости довольно сложные, тем не менее, метод Эйлера весьма удобен для расчётов.
Построение поля скоростей осуществляется следующим образом:
На некоторый момент времени (например, to) произвольным образом выберем необходимое число точек, в которых находятся частицы жидкости. Приписав их скорости
точкам неподвижного пространства (1, 2, 3, 4, 5 и 6) мы сделаем «моментальную фотографию» поля скоростей на выбранный момент времени. В следующий момент времени
в тех же выбранных точках
