Лекции по гидравлике
для времени
:
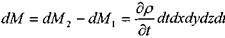
Изменение массы жидкости за бесконечно малый интервал времени dt:
•> или:
i
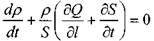
откуда для наиболее общего случая нестационарного поля
дифференциальное
уравнение неразрывности запишется в следующем виде:
и для частного случая - стационарного поля
:
«
В векторной форме уравнения неразрывности жидкости запишутся в следующем виде:
?
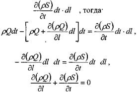
3.4 Уравнение неразрывности для элементарной струйки жидкости
Выделим в элементарной струйке жидкости двумя сечениями 1 - Г и 2 - 2' малый отсек жидкости длиной dl. Объём жидкости внутри выделенного отсека
Масса жидкости, вошедшая в элементарную трубку тока за временной интервал dt, будет равна:
Масса жидкости, вытекшая за это же время через противоположное сечение отсека:
1 В данном разделе для удобства записи вместо принятых ранее обозначений площади сечения элементарной струйки жидкости dS и элементарного расхода жидкости dQ используются обозначения: S и Q.
За тот же интервал времени масса жидкости внутри отсека изменится на величину:
^ * откуда
*
Окончательно формула может быть представлена в виде
При установившемся движении жидкости (р = const) уравнение неразрывности примет вид:
3.5 Элементы кинематики вихревого движения жидкости
Поступательному движению жидкости часто сопутствует вихревое движение, вызванное вращением элементарного объёма жидкости вокруг некоторой оси Такое вращение жидкости называется вихрем; угловая скорость этого элементарного объёма является основной характеристикой вихря Касательная в любой точке вектора вихря - вихревая линия Поверхность образованная вихревыми линиями, проведенными через точки замкнутого контура, называется вихревой трубкой Прямолинейную вихревую трубку с бесконечно малой площадью сечения можно рассматривать как вращающийся твердый цилиндр, окружная скорость которого пропорциональна радиусу. Кинематической характеристикой вихревого течения жидкости является циркуляция скорости, которая служит мерой завихренности. '
5
где: Г - циркуляция вектора скорости,
- проекция вектора скорости на касательную к этому контуру в i-той точ-
ке
- элемент длины контура
В тех случаях, когда вращение жидкости в определённых точках пространства происходит с постоянной скоростью и положение вихря с течением времени не меняется, то такое вихревое движение принято называть стационарным вихрем В иных случаях вихревое движение следует считать не стационарным.
3.6. Поток жидкости
Поток жидкости представляет собой совокупность элементарных струек жидкости. По этой причине основные кинематические характеристики потока во многом совпадают по своему смыслу с аналогичными характеристиками для элементарной струйки жидкости. Тем не менее, различия всё же имеются. Так в отличие от элементарной струйки, которая отделена от остальной жидкости поверхностью трубки тока, образованной линиями тока, поток жидкости имеет реальные границы в виде твёрдой среды, газообразной или жидкой сред. По типу границ потоки можно разделить на следующие виды:
напорные, когда поток ограничен твёрдой средой по всему периметру сечения,
безнапорные, когда часть сечения потока представляет собой свободную поверхность жидкости,
гидравлические струи, когда поток ограничен только жидкой или газообразной средой. Если гидравлическая струя ограничена со всех сторон жидкостью, то она называется затопленной гидравлической струёй, если гидравлическая струя ограничена со всех сторон газовой средой, то такая струя называется незатопленной.
Поперечное сечение потока, расположенное нормально к линиям тока, называется живым сечением потока. Площадь живого сечения потока определяется соотношением:
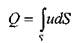
Расход жидкости в потоке определяется как отношение объёма жидкости протекающее через живое сечение потока к интервалу времени или определяется следующим соотношением:
Кроме известной размерности расхода в системе СИ м3/с имеется целый набор внесистемных единиц для измерения расхода жидкости в потоке: м3/сут, л/чс, л/с, и др.
Средней скоростью в живом сечении потока называется величина:
Смоченным периметром живого сечения потока П называется часть контура живого сечения потока, которая ограничена твёрдой средой. (На рисунке смоченный пери
метр выделен жирной линией).
Отношение площади живого сечения потока к длине
смоченного периметра называется гидравлическим радиусом живого сечения.
Величина гидравлического радиуса круглого сечения радиуса г:
равна половине величины его геометрического радиуса. Величина гидравлического радиуса трубы квадратного сечения со стороной а, (полностью заполненной жидкостью)
равна
4. Динамика идеальной жидкости
4.1. Дифференциальное уравнение движения идеальной жидкости (при установившемся движении) и его интегрирование
Для вывода уравнения движения жидкости обратимся к записанному ранее уравнению равновесия жидкости (в проекциях на координатные оси), иначе говоря:
. Поскольку в идеальной жидкости никаких сосредоточенных сил действовать не может, то последнее уравнение чисто условное. Когда равнодействующая отлична от 0,
то жидкость начнёт двигаться с некоторой скоростью, т.е. в соответствии со вторым законом Ньютона, частицы жидкости, составляющие жидкое тело получат ускорение.
