Лекции по гидравлике
минарной плёнки можно оценить исходя из эмпирического уравнения
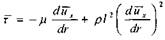
Касательные напряжения в турбулентном потоке. В турбулентном потоке величина касательных напряжений должна быть больше, чем в ламинарном, т.к. к касательным напряжениям, определяемым при перемещении вязкой жидкости вдоль трубы следует добавить дополнительные касательные напряжения, вызываемые перемешиванием жидкости.
Рассмотрим этот процесс подробнее. В турбулентном потоке вместе с перемещением частицы жидкости вдоль оси трубы со скоростью и эта же частица жидкости одновременно переносятся в перпендикулярном направлении из одного слоя жидкости в другой со скоростью равной скорости пульсации и . Выделим элементарную площадку dS, расположенную параллельно оси трубы. Через эту площадку из одного слоя в другой будет перемещаться жидкость со скоростью пульсации
при этом расход жидкости составит:
Масса жидкости dMr, переместившаяся через площадку за время dt будет:
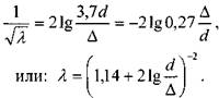
За счёт горизонтальной составляющей скорости пульсации и'х эта масса получит в новом слое жидкости приращение количества движения dM,
Если
переток жидкости осуществлялся в слой, двигающийся с большей скоростью, то, следовательно, приращение количества движения будет соответствовать импульсу силы dT, направленной в сторону противоположную движению жидкости, т.е. скорости и'х:
Тогда:
^
Для осреднённых значений скорости:
Следует отметить, что при перемещении частиц жидкости из одного слоя в другой они не мгновенно приобретают скорость нового слоя, а лишь через некоторое время; за это время частицы успеют углубиться в новый слой на некоторое расстояние /, называемое длиной пути перемешивания.
Теперь рассмотрим некоторую частицу жидкости находящуюся в точке А Пусть эта частица переместилась в соседний слой жидкости и углубилась в него на длину пути перемешивания, т.е. оказалась в точке В. Тогда расстояние между этими точками будет равно /. Если скорость жидкости в точке А будет равна и, тогда скорость в точке
В будет равна.
Сделаем допущения, что пульсации скорости пропорциональны приращению скорости объёма жидкости. Тогда:
Полученная зависимость носит название формулы Прандтля и является законом в теории турбулентного трения так же как закон вязкостного трения для ламинарного движения жидкости. , Перепишем последнюю зависимость в форме:
Здесь коэффициент
, называемый коэффициентом турбулентного обмена
играет роль динамического коэффициента вязкости, что подчёркивает общность основ теории Ньютона и Прандтля. Теоретически полное касательное напряжение должно быть равно:
*
'
но первое слагаемое в правой части равенства мало по сравнению со вторым и его величиной можно пренебречь
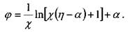
Распределение скоростей по сечению турбулентного потока. Наблюдения за величинами осреднённых скоростей в турбулентном потоке жидкости показали, что эпюра осреднённых скоростей в турбулентном потоке в значительной степени сглажена и практически скорости в разных точках живого
сечения равны средней скорости. Сопоставляя эпюры скоростей турбулентного потока (эпюра 1) и ламинарного потока позволяют сделать вывод о практически равномерном распределении скоростей в живом сечении. Работами Прандтля было установлено, что закон изменения касательных напряжений по сечению потока близок к логарифмическому закону. При некоторых допущениях: течение вдоль бесконечной плоскости и равенстве касательных напряжений во всех точках на поверхности
После интегрирования:
Последнее выражение преобразуется к следующему виду:
Развивая теорию Прандтля, Никурадзе и Рейхардт предложили аналогичную зависимость для круглых труб.
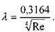
Потери напора на трение в турбулентном потоке жидкости. При исследовании вопроса об определении коэффициента потерь напора на трение в гидравлически гладких трубах можно прийти к мнению, что этот коэффициент целиком зависит от числа Рей-нольдса. Известны эмпирические формулы для определения коэффициента трения, наиболее широкое распространение получила формула Блазиуса:
По данным многочисленных экспериментов формула Блазиуса подтверждается в пределах значений числа Рейнольдса от
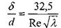
до 1-10 5. Другой распространённой эмпирической формулой для определения коэффициента Дарси является формула П.К. Конакова:
Формула П.К. Конакова имеет более широкий диапазон применения до значений числа Рейнольдса в несколько миллионов. Почти совпадающие значения по точности и области применения имеет формула Г.К. Филоненко:
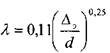
Изучение движения жидкости по шероховатым трубам в области, где потери напора определяются только шероховатостью стенок труб,
и не зависят от скорости
движения жидкости, т.е. от числа Рейнольдса осуществлялось Прандтлем и Никурадзе. В результате их экспериментов на моделях с искусственной шероховатостью была установлена зависимость для коэффициента Дарси для этой так называемой квадратичной области течения жидкости:
Для труб с естественной шероховатостью справедлива формула Шифринсона
где:
- эквивалентная величина выступов шероховатости. Ещё более сложная обстановка связана с изучением движения жидкости в переходной области течения, когда величина потерь напора зависит от обоих факторов,
