Лекции по гидравлике
5.5. Потери напора на местных гидравлических сопротивлениях Несмотря на многообразие видов местных гидравлических сопротивлений, их всё же можно при желании сгруппировать:
потери напора в руслах при изменении размеров живого сечения, потери напора на местных гидравлических сопротивлениях, связанных с изменением направления движения жидкости, потери напора при обтекании преград.
Внезапное расширение русла. Внезапное расширение русла чаще всего наблюдается
на стыке участков трубопроводов, когда один трубопровод сочленяется с магистральным трубопроводом большего диаметра. Величина коэффициента потерь напора в данном случае определяется с достаточной точностью на теоретическом уровне. Поток жидкости движущейся в трубопроводе меньшего диаметра d, попадая в трубу
большего диаметра, касается стенок нового участка трубопровода не сразу, а лишь в сечении 2-2'. На участке между сечениями 1 - Г и 2-2' образуется зона, в которой жидкость практически не участвует в движении по трубам, образуя локальный вихревой поток, где претерпевает деформацию. По этой причине часть кинетической энергии движущейся жидкости тратиться на поддержание «паразитного» сращения и деформации жидкости. Величины средних скоростей жидкости в сечениях можно определить из условия неразрывности.
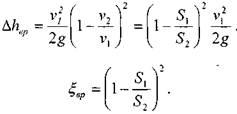
Тогда величина потерь напора при внезапном расширении русла определится:
Таким образом, можно сказать, что потеря напора при внезапном расширении потока равна скоростному напору, соответствующему потерянной скорости.
Плавное расширение русла (диффузор). Плавное расширение русла называется диффузором. Течение жидкости в диффузоре име-
'ет сложный характер. Поскольку живое сече-
ние потока постепенно увеличивается, то, соответственно, снижается скорость движения
жидкости и увеличивается давление. Поскольку, в этом случае, в слоях жидкости у стенок
диффузора кинетическая энергия минимальна (мала скорость), то возможна остановка жидкости и интенсивное вихреобразование. По этой причине потери энергии напора в диффузоре будут зависеть от потерь напора на трение и за счёт потерь при расширении:
2
где:
- площадь живого сечения на входе в диффузор,
S2 - площадь живого сечения на выходе из диффузора, а - угол конусности диффузора,
- поправочный коэффициент, зависящий от условий расширения потока в диффузоре.
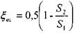
Внезапное сужение канала. При внезапном сужении канала поток жидкости отрывается от стенок входного участка и лишь затем (в сечении 2 - 2)касается стенок канала
меньшего размера. В этой области потока — * образуются две зоны интенсивного вихре-образования (как в широком участке трубы, так и в узком), в результате чего, как и в предыдущем случае, потери напора скла
дываются из двух составляющих (потерь на трение и при сужении). Коэффициент
потерь напора при гидравлическом сопротивлении внезапного сужения потока можно определить по эмпирической зависимости, предложенной И.Е. Идельчиком:
или взять по таблице:
Плавное
сужение канала. Плавное сужение канала достигается с помощью конического участка называемого конфузором. Потери напора в конфузоре образуются практически за счёт трения, т.к. вихреобразование в конфузоре практически отсутствует. Коэффициент потерь напора в конфузоре можно определить по формуле:
, t f ~ *
При большом угле конусности а >50° коэффициент потерь напора можно определять по формуле с внесением поправочного коэффициента.
Нормальный вход в трубу. Из резервуаров, где хранятся жидкости вход в выкидной трубопровод осуществляется в так называемом нормальном исполнении, т.е. когда осевая линия патрубка трубопровода располагается по нормали к боковой стенку резервуара. Этот вид гидравлических сопротивлений также можно отнести к сопротивлениям связанным с изменением размеров русла, просто здесь размеры нового русла
бесконечно малы по сравнению с размерами исходного русла с сечением резервуара. В этом случае внутри выкидного патрубка вытекающая из резервуара жидкость заполняет всё сечение трубы не сразу, а лишь на некотором расстоянии от входа. В этой области в застойной зоне часть жидкости совершает вращательное движение и созданный таким образом вихрь порождает дополнительные г
гидравлические сопротивления. Коэффициент потерь напора при этом приблизительно составляет половину скоростного напора:
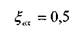
Выход из трубы в покоящуюся жидкость. Это обычный элемент стыковки напорной части трубопровода с резервуаром. Входной патрубок трубопровода располагается нормально к боковой
стенке резервуара. Этот вид гидравлических сопротивлений также можно рассматривать как разновидность внезапного расширения потока жидкости до бесконечно большого сечения. Величина коэффициента потерь напора, в большинстве случаев, принимается равной одному скоростному напору.
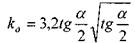
Внезапный поворот канала. Под таким гидравлическим сопротивлением будем понимать место соединения
трубопроводов одинакового
диаметра, при котором осевые линии трубопроводов не совпадают, т.е. составляют между
собой некоторый угол а Этот угол называется углом поворота русла, т.к. здесь изменяется направление движения жидкости. Физические основы процесса преобразования кинетической энергии при повороте потока достаточно сложны и следует рассмотреть лишь результат этих процессов. Так при прохождении участка внезапного поворота образуется сложная форма потока с двумя зонами вихревого движения жидкости На практике такие элементы соединения трубопроводов называют коленами. Следует отметить, что колено как соединительный элемент является крайне нежелательным ввиду значительных потерь напора в данном виде соединения. Величина коэффициента потерь напора будет, в первую очередь, зависеть от угла поворота русла и может быть определена по эмпирической формуле или по таблице:
