Лекции по гидравлике
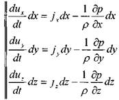
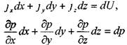
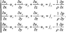
Тогда уравнение движения жидкости в проекциях на координатные оси можно записать в следующем виде:
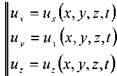
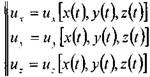
Согласно основному положению о поле скоростей (метод Эйлера) для проекций скоростей движения жидкости можно записать следующее:
или (для установившегося движения жидкости):
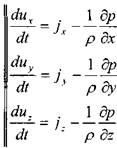
Найдём первые производные от скоростей по времени, т.е. определим ускорения вдоль осей координат:
отметим, что:
' * /
Теперь подставив выражения для ускорений в исходную систему дифференциальных уравнений движения жидкости, получим систему уравнений Эйлера в окончательном ви-де2:
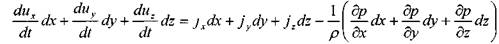
Теперь вновь обратимся к системе дифференциальных уравнений движения жидкости, умножив обе части 1-го уравнения на dx, 2-го уравнения на dy, 3-го уравнения на dz, получим:
и просуммировав эти уравнения по частям, получим:
2 При неустановившемся движении жидкости уравнения Эйлера дополняются первыми слагаемыми.
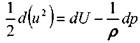
Преобразуем левую часть полученного уравнения, полагая, что
в результате запишем
Слагаемые в правой части уравнения являются полными дифференциалами функций.
Теперь уравнение примет вид
Если из массовых сил на жидкость действует только сила тяжести, то
, и
> ,*
тогда получим:
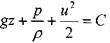
После интегрирования получим:
?
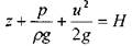
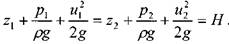
разделив почленно все члены уравнения на g, получим так называемое уравнение Бернулли
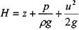
Здесь величина Н называется гидродинамическим напором Величина гидродинамического напора постоянна для всех живых сечений элементарной струйки идеальной жидкости.
4.2. Уравнение Бернулли для элементарной струйки идеальной жидкости
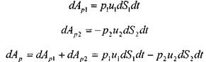
Выделим двумя нормальными к линиям тока сечениями 1 - 1 и 2 - 2 отсек жидкости, который будет находиться под действием сил давления
и сил тяжести dG Под действием этих сил через малый промежуток времени отсек жидкости из своего первоначального положения переместится в положение между сечениями
Силы давления, приложен
ные к живым сечениям отсека с правой и с левой сто-
рон имеют противоположные друг другу направления.
Перемещение всего отсека жидкости можно заменить перемещением массы жидкости между сечениями: 1-1иГ-Г в положение 2-2и2'-2', при этом центральная часть отсека жидкости (можно утверждать) своего первоначального положения не меняет и в движении жидкости участия не принимает.
Тогда работа сил давления по перемещению жидкости
можно определить следующим образом:
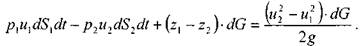
Работа сил тяжести будет равна работе по перемещению веса отсека жидкости на разницу уровней
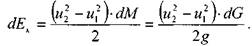
При перемещении отсека жидкости кинетическая энергия изменится на величину:
f
Теперь запишем общее уравнение баланса энергии:
Разделив все элементы уравнения на dG и, переместив в левую часть уравнения величины с индексами «1» а в правую - с индексом «2», получим:
Это последнее уравнения носит название уравнения Бернулли для элементарной струйки идеальной жидкости.
4.3. Интерпретация уравнения Бернулли
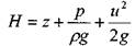
Все члены уравнения Бернулли имеют линейную размерность и представляют собой напоры:
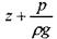
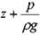
z - называется геометрическим напором (геометрической высотой), представляет собой место положения центра тяжести живого сечения элементарной струйки относительно плоскости сравнения,
- называется пьезометрическим напором (пьезометрической высотой),
представляет собой высоту, на которую могла бы подняться жидкость при отсутствии движения
- носит название скоростного напора.
- носит название гидродинамического напора
Уравнение Бернулли является выражением закона сохранения механической энергии движущейся жидкости, по этой причине все части уравнения представляют собой величины удельной энергии жидкости:
z - удельная энергия положения,
- удельная энергия давления,
- удельная потенциальная энергия,
- удельная кинетическая энергия
- удельная механическая энергия.
5. Динамика реальной (вязкой жидкости)
При изучении движения реальной (вязкой жидкости) можно пойти двумя разными путями:
воспользоваться готовыми дифференциальными уравнениями и их решениями, полученными для идеальной жидкости. Учёт проявления вязких свойств осуществляется с помощью введения в уравнения дополнительных поправочных членов уравнения, вывести новые уравнения для вязкой жидкости.
Для практической инженерный деятельности более приемлемым следует считать первый полуэмпирический путь, второй следует использовать лишь в тех случаях, когда требуется детальное изучение процесса движения вязкой жидкости. По этой причине ограничимся лишь записью систем дифференциальных уравнений Навье - Стокса и поверхностным анализом этих уравнений.
