Лекции по гидравлике
Поскольку в тонкой стенке потери напора по длине бесконечно малы, то
где'
- коэффициент потерь напора в тонкой стенке Следовательно, скорость в сжатом сечении струи будет равна:
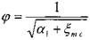
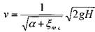
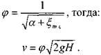
Первый сомножитель в равенстве носит название коэффициента скорости'
Определим расход жидкости при её истечении из отверстия (заметим, что скорость истечения жидкости у нас относится к площади сжатого живого сечения струи):
где:
- называется коэффициентом расхода.
При изучении процесса истечения жидкости предполагалось, что ближайшие стенки и дно сосуда находятся на достаточно большом удалении от отверстия:
, т.е. не ближе
тройного расстояния от направляющих стенок. В этом случае все линии тока имеют одинаковую кривизну, и такое сжатие струи
называется совершенным сжатием. В иных случаях близко расположенные стенки являются для струи направляющими элементами, и её сжатие будет несовершенным (не оди-
наковым со всех сторон). В тех случаях, когда отверстие непосредственно примыкает к одной из сторон отверстия (сечение отверстия не круглое), сжатие струи будет неполным. При неполном и несовершенном сжатии струи наблюдается некоторое увеличение коэффициента расхода. При полном совершенном сжатии струи коэффициент сжатия достигает 0,60 - 0,64. Величины коэффициентов сжатия струи, коэффициента расхода зависят
от числа Рейнольдса (см. рисунок), причём коэффициенты сжатия и скорости в разных направлениях: с возрастанием числа Рейнольдса коэффициент скорости увеличивается, а коэффициент сжатия струи убывает. В результате этого коэффициент расхода оста
ётся практически неизменным (исключением являются потоки жидкости с весьма малыми числами Рейнольдса).
Величины коэффициента расхода измеряются простым замером фактического расхода жидкости через отверстие и сопоставлением его с теоретически вычисленным значением.
Коэффициент сжатия струи измеряется путём непосредственного определения сжатого сечения струи, коэффициент скорости - по траектории струи.
Истечение жидкости через затопленное отверстие. Истечение через затопленное отверстие в тонкой стенке, т.е. под уровень жидкости ничем существенным не отличается от истечения в атмосферу.
Пусть в резервуаре имеется перегородка с отверстием, уровни жидкости находятся
на отметках
и
относительно плоскости сравнения, проходящей через центр тяжести отверстия. Запишем уравнение Бернулли для свободных поверхностей жидкости (сечение А - А и сечение В - В относительно
плоскости сравнения О - О).
Потери напора состоят из двух частей: потеря напора при истечении из отверстия в тонкой стенке (как при истечении в атмосферу):
и потеря на внезапное расширение струи от сжатого сечения до сечения резервуара:
р
*
Подставив полученные выражения для видов потерь в предыдущее уравнение, получим:
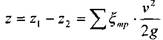
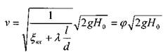
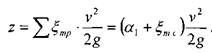
В данном случае действующим напором является разность уровней свободных поверхностей жидкости z. Скорость истечения будет равна:
j * *
*
Обозначив:
получим выражение для расхода жидкости1
•>
7.3. Истечение жидкости через насадки.
Насадками называются короткие трубки, монтируемые, как правило, с внешней стороны резервуара таким образом, чтобы внутренний канал насадка полностью соответствовал размеру отверстия в тонкой стенке. Наличие такой направляющей трубки приве
дет к увеличению расхода жидкости при прочих равных условиях. Причины увеличения следующие При
отрыве струи от острой кромки отверстия струя попадает в канал насадка, а поскольку струя испытывает сжатие, то стенок насадка она касается на расстоянии от 1,0 до 1,5 его диаметра. Воздух, который первоначально находится в передней части насадка, вследствие неполного заполнения его жидкостью постепенно выносится вместе с потоком жидкости. Таким образом, в этой области образуется «мёртвая зона», давление в которой ниже,
чем давление в окружающей среде (при истечении в атмосферу в «мёртвой зоне» образуется вакуум). За счёт этих факторов увеличивается перепад давления между резервуаром и областью за внешней его стенкой и в насадке генерируется так называемый эффект подсасывания жидкости из резервуара. Однако наличие самого насадка увеличивает гидравлическое сопротивление для струи жидкости, т.к. в самом насадке появляются потери напора по длине трубки. Если трубка имеет ограниченную длину, то влияние подсасывающего эффекта с лихвой компенсирует дополнительные потери напора по длине. Практически эти эффекты (подсасывание и дополнительные сопротивления по длине) компенсируются при соотношении: / = 55 d. По этой причине длина насадков ограничивается / = (3 -5)d . По месту расположения насадки принято делить на внешние и внутренние насадки. Когда насадок монтируется с внешней стороны резервуара (внешний насадок), то он оказывается более технологичным, что придаёт ему преимущество перед внутренними насадками. По форме исполнения насадки подразделяются на цилиндрические и конические, а по форме входа в насадок выделяют ещё коноидальные насадки, вход жидкости в которые выполнен по форме струи.
Внешний цилиндрический насадок. При истечении жидкости из цилиндрического насадка сечение выходящей струи и сечение отверстия одинаковы, а это значит, что коэффициент сжатия струи
= 1. Скорость истечения:
Приняв
, коэффициенты скорости и расхода:
