Лекции по гидравлике
Адсорбируемое вещество (в нашем случае это жидкость) называется адсорбатом, а адсорбирующее вещество (в нашем случае это твёрдое тело) называется адсорбентом. Процесс собственно адсорбции происходит на поверхности твёрдого тела без внедрения молекул адсорбата в твёрдое тело.
В тех случаях, когда молекулы адсорбата проникают в поверхностный слой адсорбента, то такой процесс приято называть абсорбцией. Если же при этом будет происхо-
дить химические реакции между веществами, то такой процесс носит название хемсорб-ции. Следует отметить, что скорость сорбционных процессов зависит от внешних условий (температура и давление) а также от свойств самих веществ. На практике с сорбционными процессами мы встречаемся при гидроизоляции зданий и сооружений, при уплотнении сальников в различных механизмах и машинах.
1.3. Многокомпонентные жидкости
В природе химически чистых жидкостей нет, технических рафинированных тоже немного. Обычно в основной жидкости всегда имеются незначительные или весьма существенные добавки (примеси). Для капельной жидкости примесями могут быть другие жидкости, газы и твёрдые тела. В таких случаях жидкость с примесями может образовать гомогенную или гетерогенную смесь.
Гомогенные смеси образуются в тех случаях, когда в основной жидкости (в таких случаях эта жидкость называется растворителем) примеси распределяются по всему объёму растворяющей жидкости равномерно на уровне молекул. В таких случаях смесь физически представляет собой однородную среду, называемую раствором. Сами же примеси носят название компонент. Физические свойства такой гомогенной смеси (плотность и удельный вес) можно определить по компонентному составу:
где:- плотность смеси,
- плотность i - той компоненты,
количество / - той компоненты.
Величины других параметров смеси (вязкость и др.) зависят от многих физико-химических факторов, что является самостоятельным объектом изучения.
В тех случаях, когда примеси в основной жидкости находятся не на молекулярном уровне, а в виде частиц, представляющих собой многочисленные ассоциации молекул вещества примеси, то такие смеси не могут считаться однородными растворами. Физические свойства таких смесей (включая плотность и удельный вес) будут зависеть от того, какое вещество будет находиться в точке измерения. Такие смеси будут неоднородными (гетерогенными) смесями. В литературе такие смеси часто называют многофазными жидкостями. Отличительной особенностью многофазных жидкостей является наличие в них внутренних границ раздела между фазами, вдоль этих поверхностей раздела действуют силы поверхностного натяжения, которые могут оказаться значительными при большой площади поверхности границ между фазами. Силы поверхностного натяжения вкупе с
другими силами, действующими в многофазной жидкости, увеличивают силы сопротивления движению жидкости.
Примеров многофазных жидкостей в природе достаточно: эмульсии - смеси двух и более нерастворимых друг в друге жидкостей; газированные жидкости - смеси жидкости со свободным газом, окклюзии - смеси жидких и газообразных углеводородов; суспензии и пульпы - смеси жидкостей и твёрдых частиц, находящихся в жидкости во взвешенном состоянии и т.д.
1.4. Неньютоновские жидкости
Многокомпонентные жидкости как гомогенные, так и гетерогенные, в большей степени, могут содержать в своём составе компоненты, значительно изменяющие вязкость жидкости, и даже кардинально меняющие саму физическую основу и природу внутреннего трения. В таких жидкостях гипотеза вязкостного трения Ньютона (пропорциональность напряжений градиенту скорости относительного движения жидкости) неприменима. Соответственно такие жидкости принято называть неньютоновскими жидкостями.
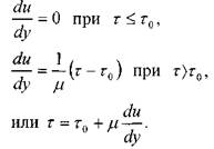
Среди неньютоновских жидкостей принято выделять вязкопластичные жидкости, псевдопластичные жидкости и дилатантные жидкости. Для вязкопластичных жидкостей характерной особенностью является то, что они до достижения некоторого критического внутреннего напряжения т0 ведут себя как твёрдые тела и лишь при превышении внутреннего напряжения выше критической величины начинают двигаться как обычные жидкости. Причиной такого явления является то, что вязкопластичные жидкости имеют пространственную жёсткую внутреннюю структуру, сопротивляющуюся любым внутренним напряжениям меньшим критической величины, это критическое напряжение в литературе называют статическим напряжением сдвига. Для вязкопластичных жидкостей справедливы следующие соотношения Бингама:
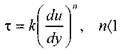
Для псевдопластичных жидкостей зависимость между внутренним напряжением сдвига и градиентом скорости относительного движения слоев жидкости в логарифмических координатах оказывается на некотором участке линейной. Угловой коэффициент соответствующей прямой линии заключён между 0 и 1 Поэтому зависимость между напряжением и градиентом скорости можно записать в следующем виде:
где: k - мера консистенции жидкости,
п - показатель, характеризующий отличие свойств псевдопластичной жидкости от ньютоновской.
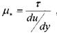
Для псевдопластичных жидкостей полезно ввести понятие кажущейся вязкости жидкости
тогда:
, т.е. величина кажущейся вязкости псевдопластичной жидко-
сти убывает с возрастанием градиента скорости.
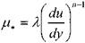
Дилатантные жидкости описываются тем же самым уравнением, что и псевдопластичные жидкости, но при показателе п > 1 .У таких жидкостей кажущаяся вязкость увеличивается при возрастании градиента скорости. Такая модель жидкости может быть применена при описании движения суспензий.
Неньютоновские жидкости обладают ещё одним свойством, их вязкость существенным образом зависит от времени. По этой причине (например, для вязкопластичных жидкостей) величина статического напряжения сдвига зависит от предыстории: чем более длительное время жидкость находилась в состоянии покоя, тем выше величина неё статического напряжения сдвига. Если прервать движение такой жидкости (остановить её), то для начала движения такой жидкости потребуется развить в жидкости меньшее напряжение, чем и том случае, когда она находилась в покое длительное время. Следовательно, необходимо различать величину начального статического напряжения сдвига и динамическую величину этого показателя. Жидкости, которые обладают такими свойствами, называются тиксотропными. Жидкости, у которых наоборот динамические характеристики выше, чем начальные называются реопектическими неньютоновскими жидкостями. Такие явления объясняются тем, что внутренняя структура таких жидкостей способна упрочняться с течением времени, или (в другом случае) для восстановления начальных свойств им требуется некоторое время.
