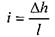
Лекции по гидравлике
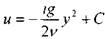
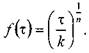
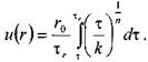
Для жидкостей, подчиняющихся степенному реологическому закону, функция напряжения сдвига будет иметь следующий вид:
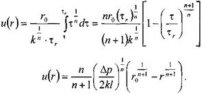
Тогда распределение скоростей в сечение потока будет соответствовать следующей зависимости:
Интегрируя это уравнение, найдём:
, или:
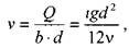
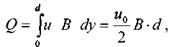
Отсюда можно получить выражение для расхода жидкости:
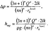
Отсюда определим величину перепада давления, обеспечивающую движение жидкости и соответствующую величину потерь напора на трение.
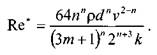
Сопоставляя полученное выражение с формулой Дарси-Вейсбаха, найдём величину коэффициента трения и обобщённый критерий Рейнольдса:
13. Гидравлическая теория смазки 13.1. Ламинарное движение жидкости в узких щелях
В большинстве машин и механизмов с целью снижения трения между движущимися узлами используются принципы гидравлической смазки, когда малые зазоры между соприкасающимися элементами заполняются низковязкой или другой жидкостью. В данном случае процесс сухого трения между твердыми движущимися телами заменяется скольжением. Гидравлическая смазка используется также и в случаях, когда необходимо выполнить изоляцию зазоров от проникновения через них жидкостей. Эти чисто практические задачи связаны с теорией течения жидкости в узких щелях, разработанных Буссинэ и Н.П. Петровым.
Эту задачу рассмотрим на классическом уровне. Возьмём две плоские одинаковые
пластины, расположенные параллельно друг другу на малом расстоянии друг от друга. Эти пластины образуют межды собой тонкую щель (зазор) d.
Щель будет считаться тонкой, если её ширина d во много раз меньше размеров пластин
и
, где L и В - размеры пластины. Проведем в потоке щели два параллельных друг другу сечения на расстоянии / и выделим малый отсек жидкости в виде параллелепипеда со сторонами:
и 2у. Жидкость движется вдоль оси ОХ (на рисунке 2 слева на право). Грани, через которые жидкость втекает внутрь выделенного отсека и вытекает из него, имеют площадь
. К этим граням приложены силы давления равные:
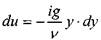
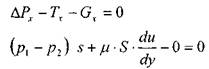
Гогда выделенный отсек жидкости будет находиться в состоянии равновесия под действием сил давления трения и силы тяжести.
где:
- площадь верхней и нижней граней отсека жидкости.
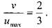
Подставив в уравнение величины площади пластин и граней, и преобразовав уравнение, получим:
Тогда:
5
где:
- гидравлический уклон.
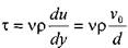
13.2. Распределение скоростей и касательных напряжений в щелевом зазоре
После интегрирования полученного дифференциального уравнения получим:
Величина постоянной интегрирования может быть получена исходя из условия, что скорость на гране пластины равна 0, т.е. при
, и = 0 . ^
5
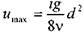
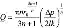
В центре потока скорость будет максимальной, т.е. при у = О
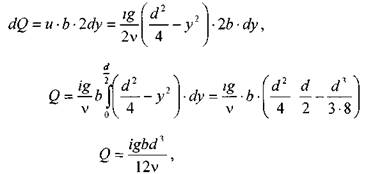
Вычислим величину средней скорости потока, для чего найдём величину расхода через щель. Элементарный поток жидкости dQ в тонком слое dy будет равен:
откуда:
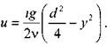
откуда средняя скорость в потоке.
т.е. для потока в тонкой щели соотношение между средней скоростью и максимальной иное, чем в круглой трубе:
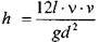
Потери напора будут равны.
3
Если одна из пластин будет двигаться относительно другой неподвижной пластины с постоянной скоростью, а давление в щели будет постоянным по всей длине, то при таком параллельном перемещении движущаяся пластина будет увлекать за собой жидкость. Такое перемещение жидкости называется безнапорным фрикционным движением. Выделим
в этом потоке элементарный объём жидкости также в виде параллелепипеда.
Поскольку величины сил давления на левую и правую боковые грани одинаковы, то для равновесия необходимо, чтобы и силы трения, действующие
вдоль верхней и нижней граней выделенного отсека тоже были одинаковыми.
f
j
После интегрирования получим:
Величины постоянных интегрирования получим при следующих условиях:
при у = О и - 0 , при
Следовательно:
и,
т.е. будем иметь закон распределения
скоростей по сечению зазора
Таким образом, скорость по сечению зазора распределяется по линейному закону. Величина касательных напряжений постоянна по сечению зазора:
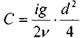
Тогда сила трения, действующая на пластину, будет равна:
расход жидкости через зазор:
т.е. средняя скорость фрикционного потока равна половине максимальной скорости:
Выводы, полученные для плоских пластин легко перенести на криволинейные поверхности, если допустить, что радиус кривизны такой поверхности бесконечно велик по сравнению с шириной зазора, что соответствует действительности.
