Лекции по гидравлике
для треугольного сечения
для квадратного сечения
для шестиугольного сечения
Тем не менее, трубы некруглого сечения применяются в промышленности там, где потери напора не играют особой роли. Это, в первую очередь, воздуховоды с малыми скоростями движения воздуха, и т.д.
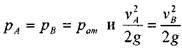
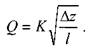
Трубопроводы, работающие под вакуумом (сифоны). Сифоном называется такой самотёчный трубопровод, часть которого располагается выше уровня жидкости в резервуаре. Действующий напор представляет собой разницу уровней в резервуарах Az. Для приведения сифона в действие необходимо предварительно откачать из сифона воздух и создать в нём разряжение. При этом жидкость поднимется из резервуара А до верхней точки сифона, после чего жидкость начнёт двигаться по ниспадающей части трубопровод в резервуар В. Другой ме
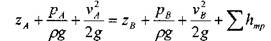
тод запуска сифона - заполнить его жидкостью извне. Запишем уравнение Бернулли для двух сечений а-а и b-b относительно плоскости сравнения О - О.
Поскольку:
, то:
?
Критическим сечением в сифоне будет сечение х - х в верхней точке сифона. Давление в этой точке будет минимальным и для нормальной работы сифона необходимо, чтобы оно выло выше упругости паров перекачиваемой по сифону жидкости.
Трубопроводы со стенками из упругого материала. В практике предприятий нефтяной отрасли нередки случаи использования специальных трубопроводов, стенки которых деформируются при изменении давления в перекачиваемой по ним жидкости. К трубопроводам такого типа относятся мягкие и гибкие рукава, резиновые и армированные шланги. Опыты Фримана показали, что в данных случаях можно пользоваться формулой аналогичной формуле Дарси-Вейсбаха:
' > , и
где;
можновзять из таблицы:
Характеристика трубопровода Величина rj
Гладкие резиновые рукава 0,000860
Обыкновенные резиновые рукава 0,000899
Очень гладкие, прорезинненые внутри 0,000884
Шероховатые внутри 0,021300
Кожаные 0,013700
Для упругих деформируемых рукавов и шлангов В формулу Дарси-Веёсбаха следует ввести необходимые поправки.
|
Характеристика трубопровода |
Величина rj | |||
|
Гладкие резиновые рукава |
0,000860 | |||
|
Обыкновенные резиновые рукава |
0,000899 | |||
|
Очень гладкие, прорезинненые внутри |
0,000884 | |||
|
Шероховатые внутри |
0,021300 | |||
|
Кожаные |
0,013700 | |||
|
Для упругих деформируемых рукавов и шлангов В формулу Дарси-Веёсбаха следует ввести необходимые поправки. | ||||
|
Номинальный диаметр в мм |
Средний внутренний диаметр в мм |
| ||
|
При р- lam |
Прнр=3ат |
|||
|
25 |
24,42 |
24,79 |
0,055 | |
|
32 |
31,84 |
32,53 |
0,060 | |
|
38 |
39,84 |
40,80 |
0,080 | |
|
50 |
54,00 |
55,40 |
0,090 | |
|
65 |
65,93 |
67,73 |
0,095 | |
9. Неустановившееся движение жидкости в трубопроводе 9.1. Постановка вопроса, требования к модели и допущения
Вопросы изучения неустановившегося движения реальной жидкости очень сложны. Если окажется необходимым получить самое общее решение поставленной задачи, то придётся рассматривать систему уравнений, в составе которой будут входить:
уравнение Навье-Стокса,
уравнение неразрывности,
уравнение состояния жидкости,
- уравнение термического состояния жидкости, уравнение первого закона термодинамики.
Следует отметить, что данная система настолько сложна и трудоёмка в своём решении, что сразу же стоит рассмотреть вопросы о необходимости принятия некоторых допущений и ограничений, облегчающих решение поставленной задачи. Другими словами, необходимо определить из соображений практики степень детальности построения модели, откуда станут очевидными требования к описанию объекта изучения. Так, рассматриваемый объект (жидкость) должна обладать упругими свойствами (быть сжимаемой), деформация жидкости должна происходить в пределах пропорциональности, что соответствует закону Гука. Следует также учитывать упругие свойства самого трубопровода, другие внешние среды не рассматриваются. Движение жидкости считается одномерным. Можно также пренебречь и теплопотерями во внешнюю среду.
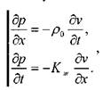
Приняв такие ограничения, можно полную систему уравнений заменить на систему из двух дифференциальных уравнений
Н.Е. Жуковского:
где:
- адиабатический модуль упругости жидкости.
Однако даже для решения этой довольно простой системы придётся преодолеть немалые трудности. По сути дела обычно рассматривают одну из хорошо известных моделей процесса неустановившегося движения жидкости: модель несжимаемой жидкости,
