Лекции по гидравлике
Плавный поворот канала Этот вид гидравлических сопротивлений можно считать более благоприятным (экономичным) с точки зрения величины потерь напора, т.к. в данном случае опасных зон для образования интенсивного вихревого движения жидкости практически нет. Тем не менее, под действием того, что при повороте потока возникают центробежные силы, способствующие отрыву частиц жидкости от стенки трубы, вихревые зоны всё же возникают. Кроме того, при этом возникают встречные потоки жидкости
направленные от внутренней стенки трубы к внешней стенке трубы. Коэффициент потерь
напора определяется по эмпирическим формулам или по
таблицам. При угле поворота русла на 90° и
:
При угле поворота русла а)100° :
![]()
i
при а = 90°
Здесь: R - радиус закругления трубы, г - радиус трубы.
Если
, то данные таблицы следует умножать на коэффициент:
Кроме приведённых зависимостей имеются и другие справочные сведения. Наличие обширного набора сведений по этим вопросам объясняется тем, что колена в закруглённом исполнении весьма широко применяются в строительстве трубопроводов и в различных гидравлических системах.
Задвижки. Задвижки часто используют как средство регулирования характеристик потока жидкости (расход, напор, скорость). При наличии задвижки в трубопроводе поток обтекает находящиеся в трубе плашки
задвижки, наличие которых ограничивает живое сечение потока, а также приводит к возникновению вихревых
потоков жидкости около плашек задвижки. Коэффициент потерь напора зависит от степени закрытия задвижки
Краны. Краны также могут использоваться в качестве средств регулирования параметров потока. В этих случаях коэффициент потерь напора зависит от степени закрытия крана (угла поворота).
Обратные клапаны и фильтры. Коэффициенты потерь напора определяются, как правило, экспериментально.
5.6. Потери напора по длине
При установившемся движении реальной жидкости основные параметры потока: величина средней скорости в живом сечении (v) и величина перепада давления
зависят от физических свойств, движущейся жидкости и от размеров пространства, в котором жидкость движется. В целом, физические свойства жидкости определяются через размерные величины, называемые физическими параметрами жидкости.
Можно установить взаимосвязь между всеми параметрами, от которых зависит движение жидкости. Условно эту зависимость можно записать как некоторую функцию в неявном виде.
где:
- линейные величины, характеризующие трёхмерное
пространство,
- линейная величина, характеризующая состояние стенок канала (шероховатость), величина выступов,
- средняя скорость движения жидкости в живом сечении потока,
- разность давления между начальным и конечном живыми сечениями потока (перепад давления),
- удельный вес жидкости,
- плотность жидкости,
- динамический коэффициент вязкости жидкости,
- поверхностное натяжение жидкости, К - модуль упругости жидкости.
Для установления зависимости воспользуемся выводами так называемой
-теоремы. Суть её заключается в том, что написанную выше зависимость, выраженную в неявном виде, можно представить в виде взаимозависимых безразмерных комплексов. Выберем
три основных параметра с независимыми размерностями
, остальные парамет-
ры выразим через размерности основных параметров.
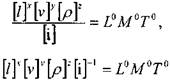
Эта операция выполняется следующим образом: пусть имеется некоторый параметр i, выразим его размерность через размерности основных параметров; это будет означать:
?
т.е. размерности левой и правой частей равенства должны быть одинаковыми. Тогда можно записать:
Полученные в результате такой операции безразмерные параметры будут называться пи-членами. Эти безразмерные комплексы имеют глубокий физический смысл, они представляют собой критерии подобия различных сил, действующих в тех или иных процессах.
Проделаем такую операцию с некоторыми из параметров.
Параметр А.
i
Теперь запишем показательные уравнения по размерностям последовательно в следующем порядке: L (длина), М (масса), и Т (время):
Из этой системы уравнений:
Таким образом, безразмерным
комплексом по этому параметру может быть:
Параметр у.
>* ' откуда получим:
и найдём:
. Таким образом, безразмерным комплексом по
этому параметру может быть:
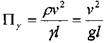
. Эта безразмерная величина называется
числом Фруда, Fr. Параметр /и.
и найдём:
Полученный безразмерный комплекс называется числом Рейнольдса, Re. Выполняя аналогичные операции с остальными параметрами можно найти:
