Лекции по гидравлике
По своему назначению трубопроводы принято различать по виду транспортируемой по ним продукции:
газопроводы,
- нефтепроводы,
- водопроводы, воздухопроводы,
- продуктопроводы.
По виду движения по ним жидкостей трубопроводы можно разделить на две категории:
напорные трубопроводы,
безнапорные (самотёчные) трубопроводы.
Также трубопроводы можно подразделить по виду сечения: на трубопроводы круглого и не круглого сечения (прямоугольные, квадратные и другого профиля). Трубопроводы можно разделить и по материалу, из которого они изготовлены: стальные трубопроводы, бетонные, пластиковые и др.
Дать полную и исчерпывающую классификацию трубопроводов вряд ли удастся из-за многообразия их функций и областей использования. Нас будут интересовать лишь те классификации, которые влияют на принятые методы и способы описания движения по ним жидкостей и газов.
8.2. Простой трубопровод
Основным элементом любой трубопроводной системы, какой бы сложной она ни была, является простой трубопровод. Классическим определением его будет- простым
трубопроводом является трубопровод, собранный из труб одинакового диаметра и качества его внутренних стенок, в котором движется транзитный поток жидкости, и на котором нет местных гидравлических сопротивлений.
При напорном движении жидкости простой трубопровод работает полным
сечением
= const. Размер
сечения трубопровода (диаметр или величина гидравлического радиуса), а также его протяжённость (длина) трубопровода (/, L) являются основными геометрическими характеристиками трубопровода. Основными технологическими характеристиками трубопровода являются расход жидкости в трубопроводе Q и напор
(на головных сооружениях трубопровода, т.е. в его начале). Большинство других характеристик простого трубопровода являются, не смотря на их важность, производными характеристиками. Поскольку в простом трубопроводе расход жидкости транзитный (одинаковый в начале и конце трубопровода), то средняя скорость движения жидкости в трубопроводе постоянна
. Для установившегося движения жидкости по трубопроводу средняя скорость движения жидкости определяется по формуле Шези:
5
где:
- скоростной коэффициент Шези,
- гидравлический радиус сечения, для круглого сечения при полном заполнении жидкостью
- гидравлический уклон.
Полагая, что весь имеющийся напор на головных сооружениях (в начале) трубопровода тратится на преодоление сил трения в трубопроводе (в простом трубопроводе это потери напора по длине
), уравнение движения жидкости (Бернулли) примет вид:
Расход жидкости в трубопроводе:
Обозначив:
, получим основное уравнение простого трубопровода:
где: К - модуль расхода - расход жидкости в русле заданного сечения при гидравлическом уклоне равном единице (иначе модуль расхода называют расходной характеристикой трубопровода). Другой и более известный вид основного уравнения простого трубопровода получим, решив уравнение относительно напора:
Величину
называют удельным сопротивлением трубопровода,
- - его полным сопротивлением
График уравнения простого трубопровода
носит название его гидравлической харак
теристики. Вид гидравлической характеристики зависит от режима движения жидкости в трубопроводе: при ламинарном движении жидкости гидравлическая характеристика трубопровода - прямая линия, проходящая через начало координат (1). При турбулентном режиме гидравлическая характеристика - парабола (2).
Если на трубопроводе собранном из труб одинакового диаметра имеются местные сопротивления, то такой трубопровод можно привести к простому трубопроводу эквивалентной длины
8.3. Сложные трубопроводы
К сложным трубопроводам следует относить те трубопроводы, которые не подходят к категории простых трубопроводов, т.е к сложным трубопроводам следует отнести:
трубопроводы, собранные из труб разного диаметра (последовательное соединение трубопроводов),
трубопроводы, имеющие разветвления: параллельное соединение трубопроводов, сети трубопроводов, трубопроводы с непрерывной раздачей жидкости.
Последовательное соединение трубопроводов. При последовательном соединении
трубопроводов конец предыдущего простого трубопровода одновременно является началом следующего простого трубопровода. В сложном трубопроводе, состоящем из последовательно соединённых простых
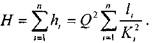
трубопроводов, последние в литературе называются участками этого трубопровода. Расход жидкости во всех участках сложного трубопровода остаётся одинаковым Q = const. Общие потери напора во всём трубопроводе будут равны сумме потерь напора во всех отдельных его участках.
где
- потери напора на
- том участке трубопро-
вода.
Таким образом, потери напора в трубопроводе, состоящем из последовательно соединённых друг с другом участков равны квадрату расхода жидкости в трубопроводе умноженному на сумму удельных сопротивлений всех участков.
Гидравлическая характеристика трубопровода состоящего из последовательно соединённых участков представляет собой графическую сумму (по оси напоров) гидравлических характеристик всех отдельных участков. На рисунке кривая 1 представляет гидравлическую характеристику 1-го участка трубопровода, кривая 2 - гидравлическую характеристику 2-го участка, кривая 3 - сумму гидравлических характеристик обеих участков.
